Ряды динамики
Ряды динамики – статистические данные, отображающие развитие во времени изучаемого явления. Их также называют динамическими рядами, временными рядами. В каждом ряду динамики имеется два основных элемента:
В качестве показаний времени в рядах динамики выступают либо определенные даты (моменты) , либо отдельные периоды (годы, кварталы, месяцы, сутки) . Уровни рядов динамики отображают количественную оценку (меру) развития во времени изучаемого явления. Они могут выражаться абсолютными, относительными или средними величинами. Ряды динамики различаются по следующим признакам: 1) По времени. В зависимости от характера изучаемого явления уровни рядов динамики могут относиться или к определенным датам (моментам) времени, или к отдельным периодам. В соответствии с этим ряды динамики подразделяются на моментные и интервальные. Моментные ряды динамики отображают состояние изучаемых явлений на определенные даты (моменты) времени. Примером моментного ряда динамики является следующая информация о списочной численности работников магазина в 1991 году (таб. 1) : Таблица 1[] Списочная численность работников магазина в 1991 году
Особенностью моментного ряда динамики является то, что в его уровни могут входить одни и те же единицы изучаемой совокупности. Хотя и в моментном ряду есть интервалы – промежутки между соседними в ряду датами, -- величина того или иного конкретного уровня не зависит от продолжительности периода между двумя датами. Так, основная часть персонала магазина, составляющая списочную численность на 1.01.1991, продолжающая работать в течение данного года, отображена в уровнях последующих периодов. Поэтому при суммировании уровней моментного ряда может возникнуть повторный счет. Посредством моментных рядов динамики в торговле изучаются товарные запасы, состояние кадров, количество оборудования и других показателей, отображающих состояние изучаемых явлений на отдельные даты (моменты) времени. Интервальные ряды динамики отражают итоги развития (функционирования) изучаемых явлений за отдельные периоды (интервалы) времени. Примером интервального ряда могут служить данные о розничном товарообороте магазина в 1987 – 1991 гг. (таб. 2) : Таблица 2[] Объем розничного товарооборота магазина в 1987 - 1991 гг.
Каждый уровень интервального ряда уже представляет собой сумму уровней за более короткие промежутки времени. При этом единица совокупности, входящая в состав одного уровня, не входит в состав других уровней. Особенностью интервального ряда динамики является то, что каждый его уровень складывается из данных за более короткие интервалы (субпериоды) времени. Например, суммируя товарооборот за первые три месяца года, получают его объем за I квартал, а суммируя товарооборот за четыре квартала, получают его величину за год, и т. д. При прочих равных условиях уровень интервального ряда тем больше, чем больше длина интервала, к которому этот уровень относится. Свойство суммирования уровней за последовательные интервалы времени позволяет получить ряды динамики более укрупненных периодов. Посредством интервальных рядов динамики в торговле изучают изменения во времени поступления и реализации товаров, суммы издержек обращения и других показателей, отображающих итоги функционирования изучаемого явления за отдельные периоды. Статистическое отображение изучаемого явления во времени может быть представлено рядами динамики с нарастающими итогами. Их применение обусловлено потребностями отображения результатов развития изучаемых показателей не только за данный отчетный период, но и с учетом предшествующих периодов. При составлении таких рядов производится последовательное суммирование смежных уровней. Этим достигается суммарное обобщение результата развития изучаемого показателя с начала отчетного периода (года, месяца, квартала и т. д.) . Ряды динамики с нарастающими итогами строятся при определении общего объема товарооборота в розничной торговле. Так, обобщением товарно – денежных отчетов за последние операционные периоды (пятидневки, недели, декады и т. д.) . 2) По форме представления уровней. Могут быть построены также ряды динамики, уровни которых представляют собой относительные и средние величины. Они также могут быть либо моментными либо интервальными. В интервальных рядах динамики относительных и средних величин непосредственное суммирование уровней само по себе лишено смысла, так как относительные и средние величины являются производными и исчисляются через деление других величин. По расстоянию между датами или интервалам времени выделяют полные или неполные ряды динамики. Полные ряды динамики имеют место тогда, когда даты регистрации или окончания периодов следуют друг за другом с равными интервалами. Это равноотстоящие ряды динамики. Неполные – когда принцип равных интервалов не соблюдается. 4) По числу показателей можно выделить изолированные и комплексные (многомерные) ряды динамики. Если ведется анализ во времени одного показателя, имеем изолированный ряд динамики. Комплексный ряд динамики получается в том случае, когда в хронологической последовательности дается система показателей, связанных между собой единством процесса или явления. 1.2 Требования, предъявляемые к рядам динамики 1) Сопоставимость статистических данных Основным условием для получения правильных выводов при анализе рядов динамики является сопоставимость его элементов. Ряды динамики формируются в результате сводки и группировки материалов статистического наблюдения. Повторяющиеся во времени (по отчетным периодам) значения одноименных показателей в ходе статистической сводки систематизируются в хронологической последовательности. При этом каждый ряд динамики охватывает отдельные обособленные периоды, в которых могут происходить изменения, приводящие к несопоставимости отчетных данных с данными других периодов. Поэтому для анализа ряда динамики необходимо приведение всех составляющих его элементов к сопоставимому виду. Для этого в соответствии с задачами исследования устанавливаются причины, обусловившие несопоставимость анализируемой информации, и применяется соответствующая обработка, позволяющая производить сравнение уровней ряда динамики. Несопоставимость в рядах динамики вызывается различными причинами. Это могут быть разновеликость показаний времени, неоднородность состава изучаемых совокупностей во времени, изменения в методике первичного учета и обобщения исходной информации, различия применяемых в различное время единиц измерения и т. д. Так, при изучении динамики товарооборота по внутригодовым периодам несопоставимость возникает при неодинаковой продолжительности показаний времени (месяцев, кварталов, полугодий) При отсутствии информации о фактическом времени работы для получения сопоставимых среднесуточных показателей используется режимное время работы. Последнее различно в зависимости от выполняемых торговлей функций и обслуживаемого контингента. Для розничной торговли возможны следующие варианты режимного времени: Предприятия, работающие без перерыва в праздничные и выходные дни (например, дежурные продуктовые и хлебобулочные магазины, рестораны, кафе) . Их фонд рабочего времени соответствует календарному ; Предприятия, не работающие в праздничные дни (например, городские рынки) . Их фонд рабочего времени меньше календарного на число ежегодных праздничных дней ; Предприятия, не работающие в праздничные и общевыходные дни (например, городские промтоварные магазины, предприятия общественного питания на фабриках, в учреждениях и т. д.) . Величина их рабочего времени зависит от размещения в каждом календарном году праздничных и выходных дней ; Предприятия, работающие в отдельные периоды времени, сезоны года (например, городские овощные базары, торговля в местах массового летнего отдыха и т. д.) . Величины временных интервалов должны соответствовать интенсивности изучаемых процессов. Чем больше вариация уровней во времени, тем чаще следует делать замеры. Соответственно для стабильных процессов интервалы можно увеличить. Так, переписи населения достаточно проводить один раз в десять лет ; учет национального дохода, урожая ведется один раз в год ; ежедневно регистрируются курсы покупки и продажи валют, и т. д. 3) Числовые уровни рядов динамики должны быть упорядоченными во времени. Не допускается анализ рядов с пропусками отдельных уровней, если же такие пропуски неизбежны, то их восполняют условными расчетными значениями. 1.3 Тенденция и колеблемость в рядах динамики При сравнении уровней разных лет можно отметить, что в целом показатель растет. Однако нередки случаи, когда, например, уровень урожайности предыдущего года оказывается выше, чем в последующем году. Иногда рост по сравнению с предыдущим годом велик, иногда мал. Следовательно, рост наблюдается лишь в среднем, как тенденция. В остальные же годы происходят колебания, отклоняясь от данной основной тенденции. Если рассматривать динамические ряды месячных уровней производства молока, мяса, ряды объема продаж разных видов обуви или одежды, ряды заболеваемости населения, выявляются регулярно повторяющиеся из года в год сезонные колебания уровней. В силу солнечно – земных связей частота полярных сияний, интенсивность гроз, те же изменения урожайности отдельных сельскохозяйственных культур и ряд других процессов имеют циклическую 10 – 11 летнюю колеблемость. Колебания числа рождений, связанные с потерями в войне, повторяются с угасающей амплитудой через поколения, то есть через 20 – 25 лет. Тенденция динамики связана с действием долговременно существующих факторов, причин и условий развития, хотя, конечно, после какого – то периода условия могут измениться и породить уже другую тенденцию развития изучаемого объекта. Колебания же, напротив, связаны с действиями краткосрочных или циклических факторов, влияющих на отдельные уровни динамического ряда, и отклоняющих уровни тенденции то в одном, то в другом направлении. Например, тенденция динамики урожайности связана с прогрессом агротехники, с укреплением экономики данной совокупности хозяйств совершенствованием организации производства. Колеблемость урожайности вызвана чередованием благоприятных по погоде и неблагоприятных лет, циклами солнечной активности и т. д. При статистическом изучении динамики необходимо четко разделить два ее основных элемента – тенденцию и колеблемость, чтобы дать каждому из них количественную характеристику с помощью специальных показателей. Смешение тенденции и колеблемости ведет к неверным выводам о динамике. 1.4 Структура ряда динамики. Задачи, решаемые с помощью рядов динамики. Взаимосвязанные ряды динамики. Всякий ряд динамики теоретически может быть представлен в виде составляющих:
С помощью рядов динамики изучение закономерностей развития социально – экономических явлений осуществляется в следующих основных направлениях:
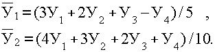
Под взаимосвязанными рядами динамики понимают такие, в которых уровни одного ряда в какой – то степени определяют уровни другого. Например, ряд, отражающий внесение удобрений на 1 га, связан с временным рядом урожайности, ряд уровней средней выработки связан с рядом динамики средней заработной платы, ряд среднегодового поголовья молочного стада определяет годовые уровни надоев молока и т. д.
2. ПОКАЗАТЕЛИ, РАССЧИТЫВАЕМЫЕ НА ОСНОВЕ РЯДОВ ДИНАМИКИ 2.1Статистические показатели динамики социально – экономических явлений. Для количественной оценки динамики социально – экономических явлений применяются статистические показатели: абсолютные темпы роста и прироста, темпы наращивания и т. д. В основе расчета показателей рядов динамики лежит сравнение его уровней. В зависимости от применяемого способа сопоставления показатели динамики могут вычисляться на постоянной и переменной базах сравнения. Для расчета показателей динамики на постоянной базе каждый уровень ряда сравнивается с одним и тем же базисным уровнем. Исчисляемые при этом показатели называются базисными. Для расчета показателей динамики на переменной базе каждый последующий уровень ряда сравнивается с предыдущим. Такие показатели называются цепными. Способы расчета показателей динамики рассмотрим на данных товарооборота магазина в 1987 – 1991 гг. (см. таб. 2) . Абсолютный прирост – важнейший статистический показатель динамики, определяется в разностном соотношении, сопоставлении двух уровней ряда динамики в единицах измерения исходной информации. Бывает цепной и базисный:
(формула 1) :
(формула 2) :
Между базисными и абсолютными приростами существует связь: сумма цепных абсолютных приростов
Темп роста – распространенный статистический показатель динамики. Он характеризует отношение двух уровней ряда и может выражаться в виде коэффициента или в процентах.
, по формуле 5:
(формула 6) :
Между базисными и цепными темпами роста имеется взаимосвязь: произведение последовательных цепных темпов роста равно базисному темпу роста, а частное от деления последующего базисного темпа роста на предыдущий равно соответствующему цепному темпу роста. Темпы прироста характеризуют абсолютный прирост в относительных величинах. Исчисленный в процентах темп прироста показывает, на сколько процентов изменился сравниваемый уровень по отношению к уровню, принятому за базу сравнения.
(формула 7) :
(формула 8) :
Формулы (7) и (8) используют для нахождения темпов прироста по темпам роста. Важным статистическим показателем динамики социально – экономических процессов является темп наращивания, который в условиях интенсификации экономики измеряет наращивание во времени экономического потенциала.
Вычисляются темпы наращивания Тн делением цепных абсолютных приростов
2.2 Средние показатели в рядах динамики Для получения обобщающих показателей динамики социально -- экономических явлений определяются средние величины: средний уровень, средний абсолютный прирост, средний темп роста и прироста и пр. Средний уровень ряда динамики характеризует типическую величину абсолютных уровней.
В интервальных рядах динамики средний уровень у определяется делением суммы уровней
Средний абсолютный прирост представляет собой обобщенную характеристику индивидуальных абсолютных приростов ряда динамики. Для определения среднего абсолютного прироста
Средний темп роста можно определить и по абсолютным уровням ряда динамики по формуле 19:
Проверка ряда на наличие тренда. Непосредственное выделение тренда Изучение тренда включает в себя два основных этапа:
Проверка на наличие тренда в ряду динамики может быть осуществлена по нескольким критериям.
Если в ряду динамики общая тенденция к росту или снижению отсутствует, то количество серий является случайной величиной, распределенной приближенно по нормальному закону (для n > 10) . Следовательно, если закономерности в изменениях уровней нет, то случайная величина R оказывается в доверительном интервале
Параметр t назначается в соответствии с принятым уровнем доверительной вероятности Р.
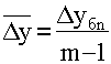
Среднее число серий вычисляется по формуле 22:
Выражение для доверительного интервала приобретает вид
Непосредственное выделение тренда может быть произведено тремя методами.
При нечетном сглаживании полученное среднее арифметическое значение закрепляют за серединой расчетного интервала, при четном это делать нельзя. Поэтому при обработке ряда четными интервалами их искусственно делают нечетными, для чего образуют ближайший больший нечетный интервал, но из крайних его уровней берут только 50%.
Недостаток методики сглаживания скользящими средними состоит в условности определения сглаженных уровней для точек в начале и конце ряда. Получают их специальными приемами – расчетом средней арифметической взвешенной. Так, при сглаживании по трем точкам выровненное значение в начале ряда рассчитывается по формуле 24:
При сглаживании по пяти точкам имеем такие уравнения (формулы 25) :
Формулы расчета по скользящей средней выглядят, в частности, следующим образом (формула 26) : для 3--членной
Целью аналитического выравнивания динамического ряда является определение аналитической или графической зависимости f (t) . На практике по имеющемуся временному ряду задают вид и находят параметры функции f (t) , а затем анализируют поведение отклонений от тенденции. Функцию f (t) выбирают таким образом, чтобы она давала содержательное объяснение изучаемого процесса.
Чаще всего при выравнивании используются следующий зависимости: линейная
Оценка параметров (
В большинстве расчетов используется метод наименьших квадратов, который обеспечивает наименьшую сумму квадратов отклонений фактических уровней от выравненных:
Для линейной зависимости (
Построив уравнение регрессии, проводят оценку его надежности. Это делается посредством критерия Фишера (F) . Фактический уровень (
Анализ сезонных колебаний Уровень сезонности оценивается с помощью:
Индексы сезонности показывают, во сколько раз фактический уровень ряда в момент или интервал времени t больше среднего уровня либо уровня, вычисляемого по уравнению тенденции f (t) . При анализе сезонности уровни временного ряда показывают развитие явления по месяцам (кварталам) одного или нескольких лет. Для каждого месяца (квартала) получают обобщенный индекс сезонности как среднюю арифметическую из одноименных индексов каждого года. Индексы сезонности – это, по либо уровень существу, относительные величины координации, когда за базу сравнения принят либо средний уровень ряда, либо уровень тенденции. Способы определения индексов сезонности зависят от наличия или отсутствия основной тенденции.
Если тренда нет или он незначителен, то для каждого месяца (квартала) индекс рассчитывается по формуле 32:
Как отмечалось выше, для обеспечения устойчивости показателей можно взять больший промежуток времени. В этом случае расчет производится по формулам 33:
При наличии тренда индекс сезонности определяется на основе методов, исключающих влияние тенденции. Порядок расчета следующий:
Для каждой точки этого ряда справедливо выражение, записанное в виде формулы 35:
Здесь
Общее число колебательных процессов, которые можно выделить из ряда, состоящего из Т уровней, равно Т/2. Обычно ограничиваются меньшим числом наиболее важных гармоник. Параметры гармоники с номером n определяются по формулам 36 –38:
(37)
Анализ взаимосвязанных рядов динамики. В простейших случаях для характеристики взаимосвязи двух или более рядов их приводят к общему основанию, для чего берут в качестве базисных уровни за один и тот же период и исчисляют коэффициенты опережения по темпам роста или прироста. Коэффициенты опережения по темпам роста – это отношение темпов роста (цепных или базисных) одного ряда к соответствующим по времени темпам роста (также цепным или базисным) другого ряда. Аналогично находятся и коэффициенты опережения по темпам прироста. Анализ взаимосвязанных рядов представляет наибольшую сложность при изучении временных последовательностей. Однако нередко совпадение общих тенденций развития может быть вызвано не взаимной связью, а прочими неучитываемыми факторами. Поэтому в сопоставляемых рядах предварительно следует избавиться от влияния существующих в них тенденций, а после этого провести анализ взаимосвязи по отклонениям от тренда. Исследование включает проверку рядов динамики (отклонений) на автокорреляцию и установление связи между признаками.
Под автокорреляцией понимается зависимость последующих уровней ряда от предыдущих. Проверка на наличие автокорреляции осуществляется по критерию Дарбина – Уотсона (формула 39) :
При К = 0 имеется полная положительная автокорреляция, при К = 2 автокорреляция отсутствует, при К = 4 – полная отрицательная автокорреляция. Прежде чем оценивать взаимосвязь, автокорреляцию необходимо исключить. Это можно сделать тремя способами.
Далее по формуле 43 подсчитываются новые остатки: (t = 1,..., Т) (43) и, по формуле 44, коэффициент корреляции признаков:. (44) Корреляция первых разностей. От исходных рядов динамики Х и У переходят к новым, построенным по первым разностям (формулы 45) : (45) По D Х и D У определяют по формуле 46 направление и силу связи в регрессии: (46) Включение времени в уравнение связи: . В простейших случаях уравнение выглядит следующим образом (формула 47) : (47) Из перечисленных методов исключения автокорреляции наиболее простым является второй, однако более эффективен первый. Поделитесь этой записью или добавьте в закладки |
Полезные публикации |
(12) В моментном ряду динамики с равноотстоящими датами времени средний уровень определяется по формуле 13:
(13) В моментном ряду динамики с неравноотстоящими датами средний уровень определяется по формуле 14:
, (14) где
(16) Основываясь на взаимосвязи между цепными и базисными абсолютными приростами, показатель среднего абсолютного прироста можно определить по формуле 17:
(17) Средний темп роста – обобщающая характеристика индивидуальных темпов роста ряда динамики. Для определения среднего темпа роста
(25) Для последних двух точек ряда расчет сглаженных значений полностью симметричен сглаживанию в двух начальных точках.
. (26) Аналитическое выравнивание. Под этим понимают определение основной проявляющейся во времени тенденции развития изучаемого явления. Развитие предстает перед исследователем как бы в зависимости только от течения времени. В итоге выравнивания временного ряда получают наиболее общий, суммарный, проявляющийся во времени результат действия всех причинных факторов. Отклонение конкретных уровней ряда от уровней, соответствующих общей тенденции, объясняют действием факторов, проявляющихся случайно или циклически. В результате приходят к трендовой модели, выраженной формулой 27:
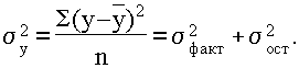
, (28) где k -- число параметров функции, описывающей тенденцию; n -- число уровней ряда ; Остальные необходимые показатели вычисляются по формулам 29 – 31:
(29)
(30)
(31)
(32) где
(33) где
, (Т -- число лет) . (34) Другим методом изучения уровня сезонности является
гармонический анализ
. Его выполняют, представляя временной ряд как совокупность гармонических колебательных процессов.
(35) при t = 1,2,3,..., Т.
при n=1,2,..., (T/2 – 1) ; 3)
(38)
, (39) где
(40) Далее выполняют переход к новым рядам динамики, построенным из отклонений от трендов, рассчитанным по формулам 41:
(41) Для последовательностей выполняется проверка на автокорреляцию по критерию Дарбина – Уотсона. Если значение К близко к 2, то данный ряд отклонений оставляют без изменений. Если же К заметно отличается от 2, то по такому ряду находят параметры уравнения авторегрессии по формулам 42: (42) Более полные уравнения авторегрессии можно получить на основе анализа автокорреляционной функции, когда определяются число параметров () и соответствующие этим параметрам величины шагов.
Главная