Оценка финансового положения предприятияАнализ рассматриваемой проблемы. Оценка финансовогоположения предприятия - это совокупность методов, позволяющих определить состояние дел предприятия в результате анализа его деятельности на конечном интервале времени. Цель анализа финансового положения предприятия - информация о его финансовом положении, платежеспособности и доходности. Оценка финансового положения предприятия необходима следующим лицам: 1) инвесторам, которым необходимо принять решение о формировании портфеля ценных бумаг; 2) кредиторам, которые должны быть уверены, что им заплатят; 3) аудиторам, которым необходимо распознавать финансовые хитрости своих клиентов; 4) финансовым руководителям, которые хотят реально оценивать деятельность и финансовое состояние своей фирмы; 5) руководителям маркетинговых отделов, которые хотят создать стратегию продвижения товара на рынки. Источники анализа финансового положения предприятия - формы отчета и приложения к ним, а также сведения из самого учета, если анализ проводится внутри предприятия. В конечном результате анализ финансового положения предприятия должен дать руководству предприятия картину его действительного состояния, а лицам, непосредственно не работающим на данном предприятии, но заинтересованным в его финансовом состоянии - сведения, необходимые для беспристрастного суждения, например, о рациональности использования вложенных в предприятие дополнительных инвестициях и т.п. 1. Анализ платежеспособности и ликвидности предприятия. 1.1. Предварительная оценка платежеспособности и ликвидности. Предварительная оценка финансового положения предприятия осуществляется на основании данных бухгалтерского баланса, " Отчета о финансовых результатах и их использовании ", а также " Приложения к балансу предприятия ". На данной стадии анализа: - формируется первоначальное представление о деятельности предприятия; - выявляются изменения в составе имущества предприятия и их источниках; - устанавливаются взаимосвязи между показателями. С этой целью: - определяют соотношения отдельных статей актива и пассива баланса, их удельный вес в общем итоге (валюте) баланса; - рассчитывают суммы отклонений в структуре основных статей баланса по сравнению с предыдущим периодом. При этом общая сумма изменения баланса расчленяется на составные части, что позволяет сделать предварительные выводы о характере имевших место сдвигов в составе активов, источниках их формирования и их взаимной обусловленности. Так, в процессе предварительного анализа изменения в объеме недвижимого имущества и текущих (оборотных) средств рассматривается в связи с изменениями в обязательствах предприятия. Для удобства проведения такого анализа целесообразно использовать так называемый уплотненный аналитический баланс - нетто, формирующееся путем сложения однородных по своему составу элементов балансовых статей в необходимых аналитических разрезах (недвижимое имущество, текущие активы и т.д.) , как это показано на таблице 1. Таблица 1.
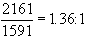
Как видно из данных в таблице 1, за отчетный период активы предприятия возросли на 609 тыс. руб., или 19.1%, в том числе за счет увеличения объема недвижимого имущества - на 452 тыс. руб. (1652-1183) и прироста оборотных средств - на 157 тыс. руб. (2161-2004) . Иначе говоря, за отчетный период в недвижимое имущество было вложено почти втрое больше средств, чем в текущие активы. При этом учитывая, что предприятие в течение отчетного года не пользовалось долгосрочными займами, можно сделать вывод о том, что все инвестиционные вложения осуществлялись за счет собственных источников предприятия. Следует отметить, однако, что в целом структура совокупных активов характеризуется значительным превышением в их составе доли оборотных средств, которые составляли 62.9% в начале года и 56.9% - в конце. В составе текущих активов при общем сокращении их доли на 6% (56.9%-62.9%) обращает на себя внимание рост дебиторской задолженности, удельный вес которой к концу года в струтуре совокупных активов увеличился на 1.3% (20.5% - 19.2%) , в струтуре оборотных средств - на 5.5% (36.0% - 30.5%) . Это делает необходимым дальнейший структурный анализ состава и структуры дебиторской задолженности по данным аналитического учета. Пассивная часть баланса характеризуется преобладающим удельным весом собственных источников средств, хотя их доля в общем объеме источников сокращается в течение года с 60.6% до 58%. Структура заемных средств в течение отчетного периода претерпела серьезные для предприятия изменения. Так, доля кредиторской задолженности поставщикам в общем объеме сократилась к концу года на 1.9%; кроме того, предприятию не удалось получить беспроцентные займы, составляющие на начало года существенный источник финансирования его деятельности. Все это сделало необходимым для предприятия привлечение краткосрочных ссуд банка, доля которых в общем объеме источников средств к концу года увеличилась на 12%. Принимая во внимание высокую стоимость банковских кредитов, а также действующий порядок отнесения на себестоимость продукции лишь части величины процентов, уплачиваемых банку за пользование кредитами, надо полагать, что такие изменения в структуре заемных средств явились для предприятия вынужденной мерой, связанной с острой потребностью в дополнительных источниках финансирования. Одним из важнейших критериев финансового положения предприятия является оценка его платежеспособности, под которой принято понимать способность предприятия рассчитываться по своим долгосрочным обязательствам. Следовательно, платежеспособным является то предприятие, у которого активы больше, чем внешние обязательства. Способность предприятия платить по своим краткосрочным обязательствам называется ликвидностью . Иначе говоря, предприятие считается ликвидным, если оно в состоянии выполнить свои краткосрочные обязательства, реализуя текущие активы. Основные средства, если только они не приобретаются с целью дальнейшей перепродажи, в большинстве случаев не могут быть источниками погашения текущей задолженности предприятия в силу, во-первых, своей особой функциональной роли в процессе производства и, во-вторых, весьма затруднительных условий их срочной реализации. Для предварительной оценки ликвидности предприятия привлекаются данные бухгалтерского баланса. Информация, отражаемая во II и III разделах актива баланса, характеризует величину текущих активов в начале и в конце отчетного года. Сведения о краткосрочных обязательствах предприятия содержатся в III разделе пассива баланса-нетто. Предприятие может быть ликвидным в большей или меньшей степени, поскольку в состав текущих активов входят разнородные оборотные средства, среди которых имеются как легкореализуемые, так и труднореализуемые для погашения внешней задолженности. В то же время в составе краткосрочных пассивов могут быть выделены обязательства различной степени срочности. Поэтому одним из способов оценки ликвидности на стадии предварительного анализа является сопоставление определенных элементов актива и пассива между собой. С этой целью обязательства предприятия группируются по степени их срочности, а его акцизы - по степени ликвидности (реализуемости) . Так, наиболее срочные обязательства предприятия (срок оплаты которых наступает в текущем месяце) сопоставляются с величиной активов, обладающих максимальной ликвидностью (денежные средства, легкореализуемые ценные бумаги) . При этом часть срочных обязательств, остающихся непокрытыми, должна уравновешиваться менее ликвидными активами - дебиторской задолженностью предприятий с устойчивым финансовым положением, легкореализуемыми запасами товарно-материальных ценностей. Прочие краткосрочные обязательства соотносятся с такими активами, как дебиторы, готовая продукция, производственные запасы и др. Исходя из сказанного, в практике аналитической работы используют целую систему показателей ликвидности (см. таблицу) . Рассмотрим важнейшие из них. Коэффициент абсолютной ликвидности (коэффициент срочности) исчисляется как денежных средств и быстрореализуемых ценных бумаг (III раздел актива) к краткосрочной задолженности (итог раздела III пассива) . Он показывает, какая часть текущей задолженности может быть погашена на дату составления баланса или другую конкретную дату. По данным нашего примера соотношение денежных средств и краткосрочных обязательств составляет 0.24: 1 (299: 1255) на начало года и 0.16: 1 (259: 1591) на конец. Это говорит о том, что погасить свои обязательства в срочном порядке предприятие не смогло бы. Однако, учитывая малую вероятность того, что все кредиторы предприятия одновременно предъявят ему свои долговые требования, и принимая во внимание тот факт, что теоретически достаточным значением для коэффициента срочности является соотношение 0.2: 1, можно предварительно предположить допустимость сложившихся на предприятии соотношений легкореализуемых активов и краткосрочной задолженности. Тем не менее, следует отметить резкое снижение значения коэффициента срочности к концу года на 8 пунктов (0.16 - 0.24) , связанное в основном с ростом краткосрочных обязательств к концу года на 26.7% ((1591-1255) : 1255*100%) . Уточненный коэффициент точности - определяется как отношение денежных средств, ценных бумаг и дебиторской задолженности (III раздел актива) к краткосрочным обязательствам (итог III раздела пассива баланса-нетто) . Этот показатель характеризует, какая часть текущих обязательств может быть погашена не только за счет наличности, но и за счет ожидаемых поступлений за отгруженную продукцию, выполненные работы или оказанные услуги. Для нашего примера это соотношение составило на начало года 0.73: 1 ((299+612) : 1255) и на конец года 0.65: 1 ((259+780) : 1591) , т.е. сократилось на 8 пунктов. Следует иметь в виду, что достоверность выводов по результатам расчетов указанного коэффициента и его динамики в значительной степени зависят от "качества" дебиторской задолженности (сроков образования, финансового положения должника и др.) Значительный удельный вес сомнительной дебиторской задолженности может создать угрозу финансовой устойчивости предприятия. Общий коэффициент ликвидности (коэффициент покрытия) представляет собой отношение всех текущих активов (итог II раздeла + итог III раздела актива) к краткосрочным обязательствам (итог III раздела пассива баланса нетто) . Он позволяет установить, в какой кратности текущие активы покрывают краткосрочные обязательства. В общем случае нормальными считаются значения этого показателя, находящиеся в пределах от 2 до 3. Следует иметь в виду, что если отношение текущих активов и краткосрочных обязательств ниже, чем 1: 1, то можно говорить о высоком финансовом риске, связанном с тем, что предприятие не в состоянии оплатить свои счета. Соотношение 1: 1 предполагает равенство текущих активов и краткосрочных обязательств. Принимая во внимание различную степень ликвидности активов, можно с уверенностью предположить, что не все активы будут реализованы в срочном порядке, а, следовательно, и в данной ситуации возникает угроза финансовой стабильности предприятия. Если же значение коэффициента покрытия значительно превышает соотношение 1 : 1, то можно сделать вывод о том, что предприятие располагает значительным объемом свободных ресурсов, формируемых за счет собственных источников. С позиции кредиторов предприятия подобный вариант формирования оборотных средств является наиболее предпочтительным. В то же время с точки зрения менеджера значительное накапливание запасов на предприятии, отвлечение средств в дебиторской задолженности может быть связано с неумелым управлением активами. В нашем примере значение коэффициента покрытия меняется в течение года от 1.60: 1 (2004: 1255) до 1.36: 1 (2161: 1591) , что ниже рекомендуемых значений для анализируемого показателя. При этом следует отметить сокращение величины анализируемого показателя к концу года на 24 пункта, что явилось результатом влияния двух факторов: увеличения текущих активов на 7.8% ((2161-2004) : 2004*100%) при одновременном росте краткосрочных обязательств к концу года на 27.6%. Для выяснения причин столь резкого сокращения ликвидности предприятия составляется таблица 2:
Как следует из данных таблицы 2, общая величина наиболее срочных обязательств предприятия к концу года возросла, тогда как объем денежных средств сократился. Недостаточность высоколиквидных средств у предприятия привела к тому, что значительный объем срочных обязательств оказался покрытым активами с относительно невысокой оборачиваемостью (дебиторской задолженностью покупателей, запасами товарно-материальных ценностей) . При этом обращает на себя внимание крайне опасная в условиях инфляции финансовая политика увеличения объема кредитования своих покупателей: по сравнению с концом прошлого года дебиторская задолженность возросла на 127.4%, тогда как величина кредиторской задолженности поставщикам увеличилась лишь на 107.6%. Вследствие этого значительные суммы, полученные предприятием по краткосрочным ссудам банка, были в основной массе переданы покупателям и заказчикам (в качестве дебиторской задолженности) ; часть полученных на заемной (платной) основе средств ушла на "бесплатное" кредитование поставщиков (авансы выданные) и лишь оставшаяся величина привлеченных в течение года средств была использована на пополнение запасов товарно-материальных ценностей. Таким образом, предприятие нарушило основной принцип успешной финансовой политики, предполагающий кредитование своих дебиторов на тех же условиях, на которых само предприятие получает кредиты. Другим показателем, характеризующим ликвидность предприятия, является оборотный капитал, который определяется как разность текущих расходов и краткосрочных обязательств. Иными словами, предприятие имеет оборотный капитал до тех пор, пока Текущие активы превышают краткосрочные обязательства (или в целом до тех пор, пока оно ликвидно) . По данным анализируемого предприятия оборотный капитал за отчетный год уменьшился с 749 тыс. руб. до 570 тыс. руб. При этом соотношение оборотного капитала и краткосрочных обязательств составило 0.59 в начале года и 0.36 в конце. Это свидетельствует о том, что в анализируемом периоде текущие активы более чем наполовину сформированы за счет заемных средств и в меньшей степени - за счет собственных источников. В этой связи полезно определить, какая часть собственных источников средств вложена в наиболее мобильные активы. Для этого рассчитывается так называемый коэффициент маневренности.
В нашем примере коэффициент маневренности составляет 749: 1932 = 0.397 в начале года и 570: 2205 = 0.259 в конце, что в целом подтверждает ранее сделанные выводы относительно структуры источников формирования текущих активов на предприятии. На формирование текущих активов было направлено около 40% собственных средств в начале года и лишь 26% к концу года. Имея в виду, что увеличение текущих расходов за период составило 157 тыс. руб., а сокращение оборотного капитала - 179 тыс. руб., можно заключить, что источником пополнения оборотных средств стали заемные средства. В условиях недостаточности оборотных средств жизнеспособность предприятия будет зависеть от состояния и "качества" активов: состава производственных запасов, спроса на продукцию, надежности покупателей, а также срочности его обязательств. Поэтому окончательные выводы относительно финансовой устойчивости и ликвидности предприятия могут быть сделаны по результатам внутреннего анализа текущих активов и краткосрочных обязательств. 1.2. Внутренний анализ состояния активов. В целях углубленного анализа целесообразно сгруппировать все оборотные активы по категориям риска. К примеру, имеется большая вероятность того, что дебиторскую задолженность будет легче реализовать, чем незавершенное производство, или расходы будущих периодов. При этом следует учитывать область применения того или иного вида оборотных средств. Те активы, которые могут быть использованы только с определенной целью (специфические активы) , имеют больший риск, чем многоцелевые активы. Чем больше средств вложено в активы, попавшие в категорию высокого риска, тем ниже финансовая устойчивость предприятия. Примерная классификация текущих активов по категориям риска представлена в таблице 3.
Приведенные в таблице 3 данные показывают, что 41.3% (8.8+32.5) текущих активов предприятия имели на начало года среднюю и высокую степень риска; к концу года, вследствие увеличения доли активов с высокой степенью риска на 8.2%, положение еще более ухудшилось. Все это представляет серьезную угрозу финансовой устойчивости предприятия. В развитие проведенного анализа целесообразно оценить тенденцию изменения соотношений труднореализуемых активов и общей величины активов, а также труднореализуемых и легкореализуемых активов. Тенденция к росту названных соотношений указывает на снижение ликвидности. При проведении такого анализа следует помнить, что классификация оборотных средств на труднореализуемые и легкореализуемые не может быть постоянной, а меняется с изменением конкретных экономических условий. Например, в условиях нестабильности снабжения и продолжающегося обесценивания рубля предприятия заинтересованы вложить денежные средства в производственные запасы и другие виды товарно-материальных ценностей, имеющих стабильный рост рыночных цен, что дает основание причислить указанную группу активов к легкореализуемым. Допустим, состояние труднореализуемых активов по данным аналитического учета предприятия характеризуется данными, представленными в таблице 4.
Как видим, доля труднореализуемых активов в общем объеме текущих активов к концу года увеличилась на 9.3%, а их отношение к легкореализуемым активам повысилось с 45.2% до 67.8%. Учитывая, что в соответствии с действующим законодательством налог на имущество предприятия берется со всей совокупности основных и оборотных средств и финансовых активов, предприятию необходимо избавляться от подобного балласта. Так, по результатам проводимой инвентаризации залежалые запасы и неликвиды должны быть списаны; на величину сомнительной дебиторской задолженности в установленном порядке формируется резерв по сомнительным долгам; готовая продукция, не пользующаяся спросом, может быть реализована со скидкой и др. Сводные обобщающие данные о состоянии текущих активов на предприятии представлены в таблице 5.
Таким образом, мы убедились в том, что сформировавшаяся на предприятии структура размещения средств ставит под угрозу дальнейшую стабильность деятельности предприятия. Так, большая часть средств вложена в наименее ликвидные активы (недвижимое имущество) ; в составе мобильных активов 50% имеют среднюю и высокую степень риска; 40% оборотных средств соствляют труднореализуемые активы. Руководству предприятия и его главному бухгалтеру надлежит принять срочные меры по стабилизации финансового положения предприятия. Такими мерами должны стать: - совершенствование организации расчетов с покупателями (следует иметь в виду, что в условиях инфляции, как правило, выгоднее продавать продукцию быстрее и дешевле, чем ожидать выгодных условий её реализации) ; - проведение инвентаризации состояния имущества с целью выявления активов "низкого" качества (изношенного оборудования, залежалых запасов материалов; сомнительной дебиторской задолженности) и списание их с баланса в установленном порядке и др. 1.3. Внутренний анализ краткосрочной задолженности. Анализ краткосрочной задолженности проводится на основании данных аналитического учета расчетов с поставщиками, полученных кредитов банка, расчетов с прочими кредиторами. В ходе анализа проводится выборка обязательств, сроки погашения которых наступают в отчетном периоде, а также отсроченных и просроченных обязательств. Для целей анализа состояния расчетов с поставщиками может быть использована таблица 6. Ведомость учета расчетов с поставщиками.
Ежемесячное ведение подобной ведомости позволяет отслеживать состояние кредиторской задолженности на предприятии. Как видим, для анализируемого предприятия задолженность поставщикам составила 222 тыс. руб. (290+968-1036) , в том числе 122 тыс. руб. просроченная кредиторская задолженность. Особое внимание следует обратить на состояние расчетов с А/О "Борец" в связи с образованием задолженности за ним в размере 280 тыс. руб., возникшей вследствие предварительной оплаты без последующей отгрузки продукции. Указанная задолженность в синтетической учете и отчетности будет рассматриваться как дебиторская. Скрытая кредиторская задолженность предприятия возникает в случае распространенной в настоящее время формы расчетов с покупателями на условиях предоплаты. Анализ состояния кредиторской задолженности предприятия его покупателям показан в таблице 7. Анализ состояния расчетов с покупателями и заказчиками (на 1.01.94)
Как видим, скрытая кредиторская задолженность предприятия составила 248 тыс. руб., из них 148 тыс. руб. - со сроком образования более трех месяцев. Аналогично анализируется состояние задолженности предприятия по полученным ссудам банка, займам, прочим кредиторам. Результаты анализа могут быть представлены в таблице 8. Анализ состояния кредиторской задолженности (тыс. руб.)
Как следует из данных таблицы 8, по ряду статей на конец года имеется просроченная задолженность. При этом отношение просроченной задолженности к общей величине краткосрочных обязательств увеличилось за отчетный период с 19.0% (238/1255*100) до 32.0% (509/1591*100) . Кроме того, значительно ухудшилась, в сравнении с прошлым годом, структура просроченных обязательств. Безусловно, любой факт просроченной задолженности следует рассматривать как отрицательное явление. Тем не менее, в составе обязательств любого предприятия условно можно выделить задолженность "срочную" и "спокойную" Например, обязательства перед бюджетом являются для любого предприятия "срочными", тогда как полученные от покупателей авансы представляют, как правило, "спокойную" задолженность. По этому же признаку к "срочной" задолженности следует отнести обязательства перед банком по полученной ссуде, а также органами социального страхования и обеспечения. Исходя из этого можно отметить, что в начале года доля "срочной" задолженности в составе просроченных обязательств предприятия составляла 4.6% (11/238*100) , к концу года эта величина возросла на 37.7%, составив 41.7% ((128+72+12) /509*100) . Все это подтверждает выводы о наличии у предприятия серьезных финансовых затруднений. На ликвидность предприятия значительное влияние оказывает срок предоставления кредита. Средний период предоставления кредита может быть исчислен по формуле:
где под суммарным оборотом понимается величина дебитового оборота за анализируемый период по счетам обязательств. Примечание: расчеты проводятся отдельно по каждому виду обязательств. Для определения среднего преиода кредита за год в числителе формулы будет 360 (количество дней в периоде) , за квартал - 90, за месяц - 30. При этом в наиболее упрощенном виде величину среднего остатка по видам краткосрочных обязательств можно рассчитать по данным баланса как:
где ОКЗн и ОКЗк - остаток задолженности на начало и конец периода. Вполне понятно, что такой расчет будет весьма приблизительным. Для получения более достоверной информации следует привлечь ежемесячные данные об остатках кредиторской задолженности, отражаемые в журналах-ордерах %4 "Краткосрочные кредиты банков", %6 "Расчеты с поставщиками", %8 "Расчеты по авансам полученным", "Расчеты с бюджетом", %10 "Расчеты по оплате труда" и "Расчеты по социальному страхованию и обеспечению" или в заменяющих их ведомостях. Для анализа удобно использовать таблицу 9. Анализ краткосрочных обязательств по срокам их возникновения.
Данные таблицы 9 свидетельствуют о наиболее серьезных изменениях в сроках кредитования, произошедших в текущем году по статьям краткосрочных ссуд банка и кредиторской задолженности за товары, работы и услуги. Так, средний период предоставления банковских кредитов в сравнении с предыдущим годом сократился на 25.7 дня и составил 88.6 дней. Обращает на себя внимание уменьшение на 7.8 дня срока погашения товарного кредита. Так, если в предыдущем году период погашения кредиторской задолженности составлял 49.2 дня, то в отчетном году - 41.4 дня. В целом, такая тенденция свидетельствует об ухудшении условий погашения кредита, а, следовательно, и снижении ликвидности. Тогда, финансовая устойчивость предприятия будет зависеть от того, каким образом оно строило в текущем периоде взаиморасчеты со своими должниками (дебиторами) . Напомним, что необходимым условием стабильности деятельностиявляется получение кредита на тех же условиях (или лучших) , на которых само предприятие его оказывает. Система показателей, используемых для оценки платежеспособности и ликвидности, представлена в таблице 10.
2. Анализ структуры источников средств и их использования. Оценка структуры источников средств проводится как внутренними, так и внешними пользователями бухгалтерской информации. Внешние пользователи (банки, инвесторы, кредиторы) оценивают изменение доли собственных средств предприятия в общей сумме источников средств с точки зрения финансового риска при заключении сделок. Риск нарастает с уменьшением доли собственных источников средств. Внутренний анализ структуры источников имущества связан с оценкой альтернативных вариантов финансирования деятельности предприятия. При этом основными критериями выбора являются условия привлечения заемных средств, их "цена", степень риска, возможные направления использования и т.д. В общем случае вне зависимости от организационно-правовых видов и форм собственности источниками формирования имущества любого предприятия являются собственные и заемные средства. В целом информация о величине собственных источников представлена в I разделе пассива баланса. К ним, в первую очередь, относятся: уставный капитал - стоимостное отражение совокупного вклада учредителей (собственников) в имущество предприятия при его создании. Размер уставного капитала определяется учредительными документами и может быть изменен только по решению учредителей предприятия и внесению соответствующих изменений в учредительные документы; резервный фонд - источник собственных средств, создаваемый предприятием, в соответствии с законодательством, путем отчислений от прибыли. Резервный фонд имеет строго целевое назначение - используется на выплату доходов учредителям при отсутствии или недостаточности прибыли отчетного года, на покрытие убытков предприятия за отчетный год и др. ; фонды специального назначения - источники собственных средств предприятия, образуемые за счет отчислений от прибыли, остающейся в распоряжении предприятия; нераспределенная прибыль - часть чистой прибыли, которая не была распределена предприятием по состоянию на дату составления отчета. Данные о составе и динамике заемных средств отражаются во II и III разделах пассива. К ним относятся: краткосрочные кредиты банков - ссуды банков, находящихся как внутри страны, так и за рубежом, полученные на срок до одного года; долгосрочные кредиты банков - ссуды банков, полученные на срок более одного года; краткосрочные займы - ссуды заимодавцев (кроме банков) , находящихся как внутри страны, так и за рубежом, полученные на срок не более одного года; долгосрочные займы - ссуды заимодавцев (кроме банков) , полученные на срок более одного года; кредиторская задолженность предприятия поставщикам и подрядчикам, образовавшаяся в результате разрыва между временем получения товарно-материальных ценностей или потреблением услуг и его фактической оплаты; задолженность по расчетам с бюджетом, возникшая вследствие разрыва между временем начисления и датой платежа; долговые обязательства предприятия перед своими работниками по оплате их труда; задолженность органам социального страхования и обеспечения, образовавшаяся ввиду разрыва между временем возникновения обязательства и датой платежа; задолженность предприятия прочим хозяйственным контрагентам. К числу основных показателей, характеризующих структуру источников средств, относятся:
Этот коэффициент важен как для инвесторов, так и для кредиторов предприятия, поскольку он характеризует долю средств, вложенных собственниками в общую стоимость имущества предприятия. Данные бухгалтерского баланса анализируемого предприятия свидетельствует о достаточно высоком значении коэффициента независимости (60.6% в начале года и 58,0% в конце года) . Таким образом, можно сделать вывод о том, что большая часть имущества предприятия формируется за счет собственных источников. В большинстве стран с развитыми рыночными отношениями считаеися, что если этот коэффициент больше или равен 50%, то риск кредиторов минимальный: реализовав половину имущества, сформированного за счёт собственных средств, предприятие сможет погасить свои долговые обязательства. Коэффициент финансовой устойчивости (стабильности) :
Значение коэффициента показывает удельный вес тех источников финансирования, которые предприятие может использовать в своей деятельности длительное время. Поскольку по данным бухгалтерского баланса анализируемое предприятие не имело долгосрочных кредитов, значение коэффициента финансовой устойчивости будет совпадать с рассчитанным ранее показателем. Коэффициент финансирования:
Коэффициент показывает, какая часть деятельности предприятия финансируется за счет собственных средств, а какая - за счет заемных. Ситуация, при которой величина коэффициента финансирования меньше 1 (большая часть имущества предприятия сформирована за счет заемных средств) , может свидетельствовать об опасности неплатежеспособности и нередко затрудняет возможность получения кредита. Сразу же следует предостеречь от буквального понимания рекомендуемых значений для рассмотренных показателей. В ряде случаев доля собственных средств в их общем объеме может быть менее половины и, тем не менее, такие предприятия будут сохранять довольно высокую финансовую устойчивость. Это, в первую очередь, касается предприятий, деятельность которых характеризуется высокой оборачиваемостью активов, стабильным спросом на реализуемую продукцию, налаженными каналами снабжения и сбыта; низким уровнем постоянных затрат (например, торговые и посреднические организации) . В то же время для капиталоемких предприятий с длительным периодом оборота средств, имеющих значительный удельный вес активов целевого направления (например, предприятия машиностроительной отрасли) , доля заемных средств 40-50% может быть опасной для их финансовой стабильности. Особое внимание при оценке структуры источников имущества предприятия должно быть уделено способу их размещения в активе. В этом проявляется неразрывная связь анализа пассивной и активной частей баланса. Известно, что на анших предприятиях скопилась масса неиспользуемых (или слабо используемых) основных и оборотных средств, завышающих общую величину имущества предприятия. К числу отрицательных последствий указанного явления относится повышенная потребность в дополнительном финансировании, покрывающем отвлечение средств из оборота. Поскольку собственные средства предприятия ограничены, то источником дополнительного финансирования деятельности становятся, как правило, дорогостоящие банковские кредиты. Примером сказанному является анализируемое нами предприятие. Так, соотношение собственных и заемных средств у него составило в начале года 1.54 (1932 / 1255) и 1.73 (2403 / 1393) в конце года, что на первый взгляд позволяет говорить о достаточно высокой финансовой устойчивости предприятия и небольшом риске для его кредиторов. Однако, как мы убедились ранее, истинное финансовое положение предприятия далеко не так стабильно, как это представляется по проведенным выше расчетам. Действительно, собственные источники в их общем объеме имеют наибольший удельный вес. Но, как показал анализ состояния имущества предприятия, (см. п. 1.2) , значительный объем средств вложен в труднореализуемые активы (залежалые запасы материалов, не пользующуюся спросом готовую продукцию, сомнительную дебиторскую задолженность) , что создает реальную угрозу неплатежеспособности предприятия. Таким образом, мы ещё раз убедились в том, что бухгалтер, анализирующий финансовое положение предприятия, должен строить свои выводы, в первую очередь, на данных аналитического учета, раскрывающих направления вложения средств. Далее переходят к анализу изменений, имевших место как в составе собственных, так и заемных средств. Анализ собственных источников целесообразно начинать с оценки их структуры и состава по данным баланса и расшифровок к нему. Из них, в частности, следует, что источники собственных средств анализируемого предприятия в своей основной массе представлены его уставным капиталом, доля которого составила 98.7% в начале года и 86.4% в конце. Другим, представленным в балансе элементам собственных средств предприятия, являются фонды специального назначения, доля которых в течение года возросла с 1.3% до 13.6%. Отметим, что подобная структура собственных источников является далеко не идеальной. В частности, инвесторов предприятия должно было бы насторожить отсутствие в балансе статьи "Нераспределенная прибыль" и чрезвычайно малая величина, отражаемая по статье "Фонды специального назначения ", поскольку указанные пассивы представляют собой финансовый результат деятельности предприятия и свидетельствуют о том, сколько предприятие "наработало" за период своего существования. В частности, данные по статье "Нераспеделенная прибыль прошлых лет" говорят о том, на сколько увеличились активы предприятия с момента его существования за счет его собственных источников. Аналогично, наличие в балансе информации о нераспределенной прибыли свидетельствует о величине увеличения имущества предприятия в текущем году. Затем переходят к поэлементному изучению каждого источника, имея в виду их различную роль в функционировании предприятия. Так, при анализе уставного капитала прежде всего оценивают полноту его формирования, выясняя, в случае необходимости, кто из учредителей не выполнил (частично выполнил) свои обязательства по вкладу в уставной капитал. Не внесенные в уставной капитал активы на момент составления бухгалтерского баланса в синтетическом учете отражаются в счете 75 "Расчеты с учредителями" как дебетовое сальдо. Следовательно, информация о величине задолженности участников по их вкладам в уставной капитал будет отражена в активе баланса по статье "Расчеты с учредителями". Далее следует убедиться в стабильности величины уставного капитала в течение отчетного периода и её соответствии данным, зафиксированным в учредительных документах. Согласно действующему законодательству, все изменения, связанные с величиной уставного капитала (и следовательно, записи по счету 85 "Уставной фонд") могут производиться лишь после внесения изменений в учредительные документы и их перерегистрации. Очевидно, что анализ уставного капитала имеет свою специфику в зависимости от организационно-правовой формы создания предприятия. В частности, для предприятий, действующих как акционерные общества, целесообразно оценить структуру уставного капитала (долю обыкновенных и привилегированных акций) , для чего привлекаются аналитические данные посчету 85 "Уставной фонд". При анализе нераспределенной прибыли предприятия следует оценить изменение её доли в общем объеме собственных источников. Тенденция к снижению этого показателя свидетельствует, как правило, о падении деловой активности и, следовательно, должна стать предметом особого внимания руководителя предприятия и его главного бухгалтера. Не меньшее значение для оцеки эффективности деятельности предприятия имеет динамика величины фондов специального назначения (накопления и потребления) . При этом анализ должен учитывать различную функциональную роль указанных фондов в механике финансирования деятельности предприятия. Поэтому анализ следует вести раздельно в части средств, направляемые на прозводственные нужды (инвестирование и пополнение оборотных средств) и нужды потребления. С этой целью привлекается информация ф. №5 "Приложение к балансу" 1. Анализ платежеспособности и ликвидности предприятия. 1.1. Предварительная оценка платежеспособности и ликвидности. Предварительная оценка финансового положения предприятия осуществляется на основании данных бухгалтерского баланса, " Отчета о финансовых результатах и их использовании ", а также " Приложения к балансу предприятия ". На данной стадии анализа формируется первоначальное представление о деятельности предприятия, выявляются изменения в составе имущества предприятия и их источниках, устанавливаются взаимосвязи между показателями. Для удобства проведения такого анализа целесообразно использовать так называемый уплотненный аналитический баланс - нетто, формирующееся путем сложения однородных по своему составу элементов балансовых статей в необходимых аналитических разрезах (недвижимое имущество, текущие активы и т.д.) , как это показано на таблице:
Одним из важнейших критериев финансового положения предприятия является оценка его платежеспособности , под которой принято понимать способность предприятия рассчитываться по своим долгосрочным обязательствам. Следовательно, платежеспособным является то предприятие, у которого активы больше, чем внешние обязательства. Способность предприятия платить по своим краткосрочным обязательствам называется ликвидностью . Иначе говоря, предприятие считается ликвидным, если оно в состоянии выполнить свои краткосрочные обязательства, реализуя текущие активы. Исходя из сказанного, в практике аналитической работы используют целую систему показателей ликвидности (см. таблицу в конце главы) . Рассмотрим важнейшие из них. Коэффициент абсолютной ликвидности (коэффициент срочности) исчисляется как денежных средств и быстрореализуемых ценных бумаг (III раздел актива) к краткосрочной задолженности (итог раздела III пассива) . Он показывает, какая часть текущей задолженности может быть погашена на дату составления баланса или другую конкретную дату. По данным нашего примера соотношение денежных средств и краткосрочных обязательств составляет 0.24: 1 (299: 1255) на начало года и 0.16: 1 (259: 1591) на конец. Это говорит о том, что погасить свои обязательства в срочном порядке предприятие не смогло бы. Однако, учитывая малую вероятность того, что все кредиторы предприятия одновременно предъявят ему свои долговые требования, и принимая во внимание тот факт, что теоретически достаточным значением для коэффициента срочности является соотношение 0.2: 1, можно предварительно предположить допустимость сложившихся на предприятии соотношений легкореализуемых активов и краткосрочной задолженности. Уточненный коэффициент ликвидности - определяется как отношение денежных средств, ценных бумаг и дебиторской задолженности (III раздел актива) к краткосрочным обязательствам (итог III раздела пассива баланса-нетто) . Этот показатель характеризует, какая часть текущих обязательств может быть погашена не только за счет наличности, но и за счет ожидаемых поступлений за отгруженную продукцию, выполненные работы или оказанные услуги. Для нашего примера это соотношение составило на начало года 0.73: 1 ((299+612) : 1255) и на конец года 0.65: 1 ((259+780) : 1591) , т.е. сократилось на 8 пунктов. Общий коэффициент ликвидности (коэффициент покрытия) представляет собой отношение всех текущих активов (итог II раздeла + итог III раздела актива) к краткосрочным обязательствам (итог III раздела пассива баланса нетто) . Он позволяет установить, в какой кратности текущие активы покрывают краткосрочные обязательства. В общем случае нормальными считаются значения этого показателя, находящиеся в пределах от 2 до 3. Следует иметь в виду, что если отношение текущих активов и краткосрочных обязательств ниже, чем 1: 1, то можно говорить о высоком финансовом риске, связанном с тем, что предприятие не в состоянии оплатить свои счета. Соотношение 1: 1 предполагает равенство текущих активов и краткосрочных обязательств. Принимая во внимание различную степень ликвидности активов, можно с уверенностью предположить, что не все активы будут реализованы в срочном порядке, а, следовательно, и в данной ситуации возникает угроза финансовой стабильности предприятия. Если же значение коэффициента покрытия значительно превышает соотношение 1 : 1, то можно сделать вывод о том, что предприятие располагает значительным объемом свободных ресурсов, формируемых за счет собственных источников. Другим показателем, характеризующим ликвидность предприятия, является оборотный капитал , который определяется как разность текущих расходов и краткосрочных обязательств. Иными словами, предприятие имеет оборотный капитал до тех пор, пока Текущие активы превышают краткосрочные обязательства (или в целом до тех пор, пока оно ликвидно) . В этой связи полезно определить, какая часть собственных источников средств вложена в наиболее мобильные активы. Для этого рассчитывается так называемый коэффициент маневренности.
В нашем примере коэффициент маневренности составляет 749: 1932 = 0.397 в начале года и 570: 2205 = 0.259 в конце, что в целом подтверждает ранее сделанные выводы относительно структуры источников формирования текущих активов на предприятии. 1.2. Внутренний анализ состояния активов. В целях углубленного анализа целесообразно сгруппировать все оборотные активы по категориям риска. К примеру, имеется большая вероятность того, что дебиторскую задолженность будет легче реализовать, чем незавершенное производство, или расходы будущих периодов. Примерная классификация текущих активов по категориям риска представлена в таблице:
В развитие проведенного анализа целесообразно оценить тенденцию изменения соотношений труднореализуемых активов и общей величины активов, а также труднореализуемых и легкореализуемых активов. Тенденция к росту названных соотношений указывает на снижение ликвидности. Учитывая, что в соответствии с действующим законодательством налог на имущество предприятия берется со всей совокупности основных и оборотных средств и финансовых активов, предприятию необходимо избавляться от подобного балласта. Сводные обобщающие данные о состоянии текущих активов на предприятии представлены в таблице:
Для стабилизации финансового положения предприятия руководству и главному бухгалтеру надлежит принять срочные меры по стабилизации финансового положения предприятия. Такими мерами должны стать: - совершенствование организации расчетов с покупателями (следует иметь в виду, что в условиях инфляции, как правило, выгоднее продавать продукцию быстрее и дешевле, чем ожидать выгодных условий её реализации) ; - проведение инвентаризации состояния имущества с целью выявления активов "низкого" качества (изношенного оборудования, залежалых запасов материалов; сомнительной дебиторской задолженности) и списание их с баланса в установленном порядке и др. 1.3. Внутренний анализ краткосрочной задолженности. Анализ краткосрочной задолженности проводится на основании данных аналитического учета расчетов с поставщиками, полученных кредитов банка, расчетов с прочими кредиторами. В ходе анализа проводится выборка обязательств, сроки погашения которых наступают в отчетном периоде, а также отсроченных и просроченных обязательств. Для целей анализа состояния расчетов с поставщиками может быть использована таблица: Ведомость учета расчетов с поставщиками.
Скрытая кредиторская задолженность предприятия возникает в случае распространенной в настоящее время формы расчетов с покупателями на условиях предоплаты. Анализ состояния кредиторской задолженности предприятия его покупателям показан в таблице. Анализ состояния расчетов с покупателями и заказчиками (на 1.01.94)
Как видим, скрытая кредиторская задолженность предприятия составила 248 тыс. руб., из них 148 тыс. руб. - со сроком образования более трех месяцев. Аналогично анализируется состояние задолженности предприятия по полученным ссудам банка, займам, прочим кредиторам. Результаты анализа могут быть представлены в таблице. Анализ состояния кредиторской задолженности (тыс. руб.)
На ликвидность предприятия значительное влияние оказывает срок предоставления кредита. Средний период предоставления кредита может быть исчислен по формуле:
где под суммарным оборотом понимается величина дебитового оборота за анализируемый период по счетам обязательств. Примечание: расчеты проводятся отдельно по каждому виду обязательств. Для определения среднего периода кредита за год в числителе формулы будет 360 (количество дней в периоде) , за квартал - 90, за месяц - 30. При этом в наиболее упрощенном виде величину среднего остатка по видам краткосрочных обязательств можно рассчитать по данным. При этом в наиболее упрощенном виде величину среднего остатка по видам краткосрочных обязательств можно рассчитать по данным баланса как:
где ОКЗн и ОКЗк - остаток задолженности на начало и конец периода. Для получения более достоверной информации следует привлечь ежемесячные данные об остатках кредиторской задолженности, отражаемые в журналах-ордерах №4 "Краткосрочные кредиты банков", №6 "Расчеты с поставщиками", №8 "Расчеты по авансам полученным", "Расчеты с бюджетом", №10 "Расчеты по оплате труда" и "Расчеты по социальному страхованию и обеспечению" или в заменяющих их ведомостях. Для анализа удобно использовать таблицу. Анализ краткосрочных обязательств по срокам их возникновения.
Данные таблицы свидетельствуют о наиболее серьезных изменениях в сроках кредитования, произошедших в текущем году по статьям краткосрочных ссуд банка и кредиторской задолженности за товары, работы и услуги. Финансовая устойчивость предприятия будет зависеть от того, каким образом оно строило в текущем периоде взаиморасчеты со своими должниками (дебиторами) . Напомним, что необходимым условием стабильности деятельности является получение кредита на тех же условиях (или лучших) , на которых само предприятие его оказывает. Итог. Система показателей, используемых для оценки платежеспособности и ликвидности, представлена в таблице.
2. Анализ структуры источников средств и их использования. Внутренний анализ структуры источников имущества связан с оценкой альтернативных вариантов финансирования деятельности предприятия. При этом основными критериями выбора являются условия привлечения заемных средств, их "цена", степень риска, возможные направления использования и т.д. В общем случае вне зависимости от организационно-правовых видов и форм собственности источниками формирования имущества любого предприятия являются собственные и заемные средства. В целом информация о величине собственных источников представлена в I разделе пассива баланса. К ним, в первую очередь, относятся: уставный капитал - стоимостное отражение совокупного вклада учредителей (собственников) в имущество предприятия при его создании. Размер уставного капитала определяется учредительными документами и может быть изменен только по решению учредителей предприятия и внесению соответствующих изменений в учредительные документы; резервный фонд - источник собственных средств, создаваемый предприятием, в соответствии с законодательством, путем отчислений от прибыли. Резервный фонд имеет строго целевое назначение - используется на выплату доходов учредителям при отсутствии или недостаточности прибыли отчетного года, на покрытие убытков предприятия за отчетный год и др. ; фонды специального назначения - источники собственных средств предприятия, образуемые за счет отчислений от прибыли, остающейся в распоряжении предприятия; нераспределенная прибыль - часть чистой прибыли, которая не была распределена предприятием по состоянию на дату составления отчета. Данные о составе и динамике заемных средств отражаются во II и III разделах пассива. К ним относятся: краткосрочные кредиты банков - ссуды банков, находящихся как внутри страны, так и за рубежом, полученные на срок до одного года; долгосрочные кредиты банков - ссуды банков, полученные на срок более одного года; краткосрочные займы - ссуды заимодавцев (кроме банков) , находящихся как внутри страны, так и за рубежом, полученные на срок не более одного года; долгосрочные займы - ссуды заимодавцев (кроме банков) , полученные на срок более одного года; кредиторская задолженность предприятия поставщикам и подрядчикам, образовавшаяся в результате разрыва между временем получения товарно-материальных ценностей или потреблением услуг и его фактической оплаты; задолженность по расчетам с бюджетом, возникшая вследствие разрыва между временем начисления и датой платежа; долговые обязательства предприятия перед своими работниками по оплате их труда; задолженность органам социального страхования и обеспечения, образовавшаяся ввиду разрыва между временем возникновения обязательства и датой платежа; задолженность предприятия прочим хозяйственным контрагентам. К числу основных показателей, характеризующих структуру источников средств, относятся:
Этот коэффициент важен как для инвесторов, так и для кредиторов предприятия, поскольку он характеризует долю средств, вложенных собственниками в общую стоимость имущества предприятия. Коэффициент финансовой устойчивости (стабильности) :
Значение коэффициента показывает удельный вес тех источников финансирования, которые предприятие может использовать в своей деятельности длительное время. Коэффициент финансирования:
Коэффициент показывает, какая часть деятельности предприятия финансируется за счет собственных средств, а какая - за счет заемных. Ситуация, при которой величина коэффициента финансирования меньше 1 (большая часть имущества предприятия сформирована за счет заемных средств) , может свидетельствовать об опасности неплатежеспособности и нередко затрудняет возможность получения кредита. Далее переходят к анализу изменений, имевших место как в составе собственных, так и заемных средств. Анализ собственных источников целесообразно начинать с оценки их структуры и состава по данным баланса и расшифровок к нему. Следует изучить, чем представлены источники собственных средств, объем фондов специального назначения, информацию о нераспределенной прибыли. Затем переходят к поэлементному изучению каждого источника, имея в виду их различную роль в функционировании предприятия. Так, при анализе уставного капитала прежде всего оценивают полноту его формирования, выясняя, в случае необходимости, кто из учредителей не выполнил (частично выполнил) свои обязательства по вкладу в уставной капитал. Далее следует убедиться в стабильности величины уставного капитала в течение отчетного периода и её соответствии данным, зафиксированным в учредительных документах. Очевидно, что анализ уставного капитала имеет свою специфику в зависимости от организационно-правовой формы создания предприятия (например, для АО определяется структура уставного капитала - доля обыкновенных и привилегированных акций) . При анализе нераспределенной прибыли предприятия следует оценить изменение её доли в общем объеме собственных источников. Тенденция к снижению этого показателя свидетельствует, как правило, о падении деловой активности и, следовательно, должна стать предметом особого внимания руководителя предприятия и его главного бухгалтера. Не меньшее значение для оцеки эффективности деятельности предприятия имеет динамика величины фондов специального назначения (накопления и потребления) . При этом анализ должен учитывать различную функциональную роль указанных фондов в механике финансирования деятельности предприятия. Поэтому анализ следует вести раздельно в части средств, направляемые на прозводственные нужды (инвестирование и пополнение оборотных средств) и нужды потребления. Рекомендация: оценку состава и структуры источников собственных средств предприятия следует проводить в динамике за ряд лет с тем, чтобы выявить основные тенденции происходящих изменений. Анализ состава и структуры заемных средств целсообразно начинать с выяснения роли в деятельности предприятия роли долгосрочных и краткосрочных кредитов. Вполне очевидно, что для предприятие наличие в составе источников его имущества долгосрочных заемных средств является положительным явлением, поскольку это позволяет располагать привлеченными средствами длительное время. Важным вопросом в анализе структуры источников средств является оценка рациональности соотношения собственных и заемных средств. Финансирование за счет собственных источников связано с выплатой дивидендов по акциям (для предприятий, функционирующих в форме АО) . При этом выбор выбор той или иной политики выплаты дивидендов может быть решающим с точки зрения привлекательности предприятия для инвесторов. Привлечение заемных средств позволяет предприятию оплатить срочные обязательства, а также является способом расширения своей деятельности. При этом следует иметь в виду, что использование отдельных видов заемных средств (ссуды банка, займы, кредиторская задолженность поставщикам ит.д.) имеют для предприятия различную стоимость. В обязательном порядке проценты за пользование заемными средствами выплачиваются по ссудам банка. Плата по банковским процентам относится на себестоимость продукции и на чистую прибыль. Общая сумма уплачиваемых процентов определяется по формуле:
где Ki - сумма полученного i-го кредита; Ci - процентная ставка i-го кредита; Ti - срок представления i-го кредита, дней; n - количество полученных в отчетном периоде кредитов. При расчетах с постащиками и подрядчиками плата за временное пользование средствами кредиторов, как правило, не взымается, хотя в случае несвоевременной оплаты предприятию придется заплатить пени (в процентах от суммы договора) за каждый день просрочки. В условиях широко распространенного в нашей стране порядка предварительной оплаты продукции дополнительным бесплатным источником финансирования многих предприиятий-товаропроизводителей стали суммы средств, поступающие от их покупателей. При этом практика показывает, что разрыв между временем поступления денег на расчетный счет предприятия и времени отгрузки во многих случаях измеряются месяцами.
3. Анализ оборачиваемости оборотных средств. 3.1. Общая оценка оборачиваемости активов предприятия. Финансовое положение предприятия находится в непосредственной зависимости от того, насколько быстро средства, вложенные в активы, превращаются в реальные деньги. ] В общем случае скорость оборота активов предприятия принято рассчитывать с помощью формулы:
Соответственно, оборачиваемость текущих активов будет определяться как:
Средняя величина активов по данным баланса определяется по формуле:
где Он, Ок - величина активов на начало и на конец периода. Затем определяется продолжительность одного оборота в днях:
где оборачиваемость активов численно равна коэффициенту оборачиваемости текущих активов. Если продолжительность оборота текущих активов увеличивается, то для продолжения производственно-коммерческой деятельности хотя бы на том же уровне необходимо дополнительное привлечение средств в оборот, которое рассчитывается по формуле:
3.2. Анализ движения денежных средств. Особое значение для стабильной деятельности предприятия имеет скорость движения денежных средств. Одним из основных условий финансового благополучия предприятия является приток денежных средств, обеспечивающий покрытие его текущих обязательств. Одним из способов оценки достаточности денежных средств является определение длительности периода оборота. С этой целью используется формула:
Для расчета средних остатков денежных средств привлекаются внутренние учетные данные (ОДn - остатки на начало n-го месяца) и формула:
где n - количество месяцев в периоде. Для того, чтобы раскрыть реальное движение денежных средств на предприятии, оценить синхронность поступления и расходования денежных средств, а также увязать величину полученного финансового результата с состоянием денежных средств на предприятии, следует выделить и проанализировать все направления поступления (притока) денежных средств, а также их выбытия (оттока) . Указанные напрвления движения денежных средств принято рассматривать отдельно в разрезе текущей, инвестиционной и финансовой деятельности. Приток денежных средств в рамках текущей деятельности связан с получением выручки от реализации продукции, выполнения работ и оказания услуг, а также авансов от покупателей и заказчиков; отток - с уплатой по счетам поставщиков и прочих контрагентов, выплатой заработной платы работникам, производственными отчислениями в фонды социального страхования и обеспечения, расчетами с бюджетом по причитающимся к уплате налогам. К текущей деятельности принято также относить и выплаченные (полученные) проценты по кредитам. Движение денежных средств в разрезе инвестиционной деятельности связано с приобретением (реализацией) имущества, имеющего долгосрочное использование (в первую очередь - поступление (выбытие) основных средств и нематериальных активов) . Финансовая деятельность предприятия связана в основном с притоком средств вследствие получения долгосрочных и краткосрочных кредитов и займов и их оттоком в виде выплаты дивидендов и погашения задолженности по полученным ранее кредитам. Анализ движения денежных средств проводится прямым и косвенным методом. Прямой метод имеет недостаток: он не раскрывает взаимосвязи полученного финансового результата и изменения величины денежных средств на счетах предприятия (предприятие получает чистую прибыль, а его денежные средства сокращаются) . При анализе движения денежных средств косвенным методом преобразуется величина чистой прибыли в величину денежных средств, т.е. исправляется надостаток прямого метода анализа. В отличие от других подходов к оценке финансового состояния, анализ движения денежных средств дает возможность сделать более обоснованные выводы о том, в каком объеме и из каких источников были получены поступившие на предприятие денежные средства и каковы основные направления их использования; достаточно ли собственных средств предприятия для осуществления инвестиционной деятельности; чем объясняются расхождения величины полученной прибыли и наличия денежных средств и т.д. 3.3. Анализ дебиторской задолженности. Для оценки оборачиваемости дебиторской задолженности используется следующая группа показателей. 1. Оборачиваемость дебиторской задолженности.
где:
В том случае, если в течение года величина выручки от реализации значительно изменялась по месяцам, то применяют уточненный способ расчета средней величины дебиторской задолженности, основанный на ежемесячных данных. Тогда:
где ОДЗn - величина дебиторской задолженности на конец n-го месяца. 2. Период погашения дебиторской задолженности.
Следует иметь в виду, что чем больше период просрочки задолженности, тем выше риск её непогашения. 3. Доля дебиторской задолженности в общем объеме текущих активов.
4. Доля сомнительной задолженности в составе дебиторской задолженности:
Этот показатель характеризует "качество" дебиторской задолженности. Тенденция к его росту свидетельствует о снижении ликвидности. Существуют некоторые общие рекомендации, позволяющие управлять дебиторской задолженностью: - контролировать состояние расчетов с покупателями по отсроченным (просроченным) задолженностям; - по возможности ориентироваться на большее число покупателей с целью уменьшения риска неуплаты одним или несколькими крупными покупателями; - следить за соотношением дебиторской и кредиторской задолженности: значительное превышение дебиторской задолженности создает угрозу финансовой устойчивости предприятия и делает необходимым привлечение дополнительных (как правило, дорогостоящих) источников финансирования; - использовать способ предоставления скидок при досрочной оплате. 3.4. Анализ оборачиваемости товарно-материальных запасов. Оценка оборачиваемости товарно-материальных запасов проводится по каждому их виду (производственные запасы, готовая продукция, товары т.д.) . Поскольку производственные запасы учитываются по стоимости их заготовления (приобретения) , то для расчета коэффициента оборачиваемости запасов используется не выручка от реализации, а себестоимость реализованной продукции. Для оценки скорости оборота запасов используется формула:
При этом:
Срок хранения запасов определяется по формуле:
4. Анализ эффективности использования имущества. Функционирование предприятия зависит от его способности приносить необходимую прибыль. При этом следует иметь в виду, что руководство предприятия имеет значительную свободу в регулировании величины финансовых результатов. Так, исходя из принятой финансовой стрвтегии, предприятие имеет возможность увеличивать или уменьшать величину балансовой прибыли за счет выбора того или иного способа оценки имущества, порядка его списания, установления срока использования и т.д. К вопросам учетной политики, определяющим величину финансового результата деятельности предприятия, в первую очередь, относятся следующие: - выбор способа начисления амортизации основных средств; - выбор метода оценки материалов, отпущенных и израсходованных на производство продукции, работ, услуг; - определение способа начисления износа по малоценным и быстроизнашивающимся предметам при их отпуске в эксплуатацию; - порядок отнесения на себестоимость реализованной продукции отдельных видов расходов (путем непосредственного их списания на себестоимость по мере совершения затрат или с помощью предварительного образования резервов предстоящих расходов и платежей) ; - состав затрат, относимых непосредственно на себестоимость конкретного вида продукции; - состав косвенных (накладных) расходов и способ их распределения и др. Вполне понятно, что предприятие, раз выбрав тот или иной способ формирования себестоимости реализованной продукции и прибыли, будет придерживаться его в течение всего отчетного периода (не менее года) , а все дальнейшие изменения в учетной политике должны иметь веские основания и непременно оговариваться. В целом, результативность деятельности любого предприятия может оцениваться с помощью абсолютных о относительных показателей. Существует и используется система показателей эффективности деятельности, среди них коэффициент рентабельности активов (имущества) .
Этот коэффициент показывает, какую прибыль получает предприятие с каждого рубля, вложенного в активы. В аналитических целях как рентабельность всей совокупности активов, так и рентабельность текущих активов.
Показателем, отражающим эффективность использования средств, инвестированных в предприятие, является рентабельность инвестиций:
Показатель рентабельности инвестиций рассматривается в зарубежной практике финансового анализа как способ оценки "мастерства" управления инвестициями. При этом считается, что поскольку руководство компанией не может влиять на величину уплачиваемого налога на прибыль, для более точного расчета показателя в числителе используется величина прибыли до уплаты налога. Инвесторы капитала (акционеры) вкладывают в предприятие свои средства с целью получения прибыли от этих инвестиций, поэтому, с точки зрения акционеров, наилучшей оценкой результатов хозяйственной деятельности является наличие прибыли на вложенный капитал. Показатель прибыли на вложенный капитал, называемый также рентабельностью собственного капитала, определяется по формуле:
Другой важный коэффициент - рентабельность реализованной продукции - рассчитывается по формуле:
Значение этого коэффициента показывает, какую прибыль имеет предприятие с каждого рубля реализованной продукции. Тенденция к его снижению позволяет предположить сокращение спроса на продукцию предприятия. Снижение коэффициента рентабельности реализованной продукции может быть вызвано изменениями в структуре реализации, снижение индивидуальной рентабельности изделий, входящих в реализованную продукцию, и др. Анализ влияния рентабельности отдельных изделий на общую рентабельность продукции проводится в следующей последовательности: 1) определяют удельный вес каждого вида продукции в общем объеме реализации; 2) рассчитывают индивидуальные показатели рентабельности отдельных видов продукции; 3) определяют влияние рентабельности отдельных изделий на её средний уровень для всей реализованной продукции. Для этого значение индивидуальной рентабельности умножают на долю изделия в общем объеме реализованной продукции. При этом рентабельность реализованной продукции определяется по формуле:
где: Pi - рентабельность i-го вида продукции; Qi - доля i-го вида продукции в общем объеме реализации; n - количество выпускаемых изделий. Отметим, что анализ рассчитанных коэффициентов рентабельности имеет практическую полезность лишь в том случае, если полученные показатели сопоставляются с данными предыдущих лет или аналогичными показателями других предприятий. Существует взаимосвязь между показателями рентабельности активов (имущества) , оборачиваемостью активов и рентабельностью реализованной продукции, которая может быть представлена в виде формулы:
Иными словами, прибыль предприятия, полученная с каждого рубля средств, вложенных в активы, зависит от скорости оборачиваемости средств и от того, какова доля чистой прибыли в выручке от реализации. 5. Анализ безубыточности предприятия. Все затраты предприятия могут быть подразделены на две части: переменные расходы (производственные) , изменяющиеся пропорционально объему производства, и постоянные расходы (периодические) , которые, как правило, остаются стабильными при изменении объема выпуска. Выручка от реализации продукции за вычетом себестоимости в объеме производственных переменных расходов составляет маржинальный доход, являющийся важным параметром в оценке управленческих решений. К переменным (производственным) расходам относятся прямые материальные затраты, заработная плата производственного персонала с соответствующими отчислениями, а также расходы по содержанию и эксплуатации оборудования и ряд других общепроизводственных расходов. К постоянным относятся административные и управленческие расходы, амортизационные отчисления, расходы по сбыту и реализации продукции, расходы по исследованию рынка, другие общие управленческие, коммерческие и общехозяйственные расходы. Одним из основных практических результатов использования классификации расходов предприятия по принципу зависимости от объема производства является возможность прогнозирования прибыли, исходя из предполагаемого состояния расходов, а также определение для каждой конкретной ситуации объема реализации, обеспечивающего безубыточную деятельность. Величину выручки от реализации, при которой предприятие будет в состоянии покрыть свои расходы без получения прибыли, принято называть критическим объемом производства ("мертвой точкой") . Для его определения может использоваться следующая формула:
где V - объем реализации в стоимостном выражении; v - переменные расходы; C - постоянные расходы; P - прибыль. Поскольку переменные расходы (v) по самому принципу их определения находятся в непосредственной зависимости от объема реализации, можем записать, что V=aV, где a - коэффициент пропорциональности. Тогда:
Поскольку по определению критическим считают объем, при котором выручка равна полным затратам (без прибыли) , то формула определения критического объема
Соотношение выручки и полных издержек может быть представлено в виде графика:
На величину критического объема влияет изменение переменных затрат на единицу продукции, величина постоянных расходов, а также изменение продажной цены изделия. Если объем реализации представить как qS, где q - объем реализации в натуральном выражении, S - продажная цена, то получим:
Влияние изменения величины постоянных расходов на критический объем может быть определено по формуле:
где
Как видно из этой формулы, любое увеличение суммы постоянных расходов приведет к росту критического объема и наоборот. Иначе говоря, возникнет необходимость в дополнительной продаже определенного количества изделий с тем, чтобы выручка от реализации покрыла новые, возросшие издержки. Следующее утверждение будет справедливо: уменьшение постоянных расходов является конкретным способом снижения точки безубыточности и улучшения финансового положения предприятия. Влияние на критический объем переменных расходов определяется следующим образом:
где
Изменение продажной цены изделий безусловно оказывает воздействие на величину критического объема. При этом следует иметь в виду, что изменение цены реализации влияет не только на ближайший финансовый результат деятельности, но и может иметь длительные отложенные последствия для конкурентоспособности предприятия. В общем случае влияние изменения продажной цены на критический объем определяется по формуле:
где
Рассматривая изменение критического объема под влиянием различных факторов, мы имели в виду достижение безубыточной деятельности. Однако, целью любого предприятия является получение прибыли. Логическим продолжением анализа безубыточности является анализ прибыльности, позволяющий определить, во-первых, при каком объеме реализации возможно получение необходимой для предприятия прибыли и, во-вторых, что не менее важно, как изменение уровня постоянных расходов отразится на финансовых результатах. Зависимость изменения реализации от изменения прибыли:
Определение критического объема при производстве и реализации изделий нескольких видов определяется по формуле:
гле
Поделитесь этой записью или добавьте в закладки |
Полезные публикации | ||||||||||||||||||||||||||||||||||||||||||||||||||||||||||||||||||||||||||||||||||||||||||||||||||||||||||||||||||||||||||||||||||||||||||||||||||||||||||||||||||||||||||||||||||||||||||||||||||||||||||||||||||||||||||||||||||||||||||||||||||||||||||||||||||||||||||||||||||||||||||||||||||||||||||||||||||||||||||||||||||||||||||||||||||||||||||||||||||||||||||||||||||||||||||||||||||||||||||||||||||||||||||||||||||||||||||||||||||||||||||||||||||||||||||||||||||||||||||||||||||||||||||||||||||||||||||||||||||||||||||||||||||||||||||||||||||||||||||||||||||||||||||||||||||||||||||||||||||||||||||||||||||||||||||||||||||||||||||||||||||||||||||||||||||||||||||||||||||||||||||||||||||||||||||||||||||||||||||||||||||||||||||||||||||||||||||||||||||||||||||||||||||||||||||||||||||||||||||||||||||||||||||||||||||||||||||||||||||||||||||||||||||||||||||||||||||||||||||||||||||||||||||||||||||||||||||||||||||||||||||||||||||||||||||||||||||||||||||||||||||||||||||||||||||||||||||||||||||||||
Используя график, можно решать следующие задачи: 1) по постоянным, переменным расходам и объему реализации определить объем прибыли; 2) исходя из заданной прибыли, определить необходимый для её получения объем реализации и соответствующий ему уровень расходов.
Главная