Организация производственного процесса
СОДЕРЖАНИЕ Введение
Заключение Литература
Введение. Экономика является неотъемлемой частью существования общества, поскольку пронизывает все сферы его деятельности. Уровень развития экономики, ее оснащенность, современность и размах определяют уровень развития общества. Чем мощнее экономика, тем более развитым считается общество. Современная экономика характеризуется широкой интеграцией передовых технологий, в том числе и из области радиоэлектроники. Рост эффективности производства на базе широкого использования научно-технических достижений – объективная необходимость современного этапа развития народного хозяйства. В решении этой задачи значительная роль принадлежит радиотехнической промышленности, продукция которой находит широкое применение во всех отраслях. Цель данной курсовой работы – закрепление на практике теоретических знаний по организации производственного процесса, главная задача – получение навыка в организации труда и средств на предприятии и получение экономически целесообразного производства. Производимое устройство – генератор пилообразного напряжения (ГПН) , выполнен в виде лабораторного стенда. ГПН выполнен на отечественных элементах, размещенных на печатной плате с прикрученными стойками. Он предназначен для обучения студентов техническому обслуживанию, диагностике и ремонту простейшей схемы ГПН. Схема широко используется преподавателями при проведении лабораторных работ, т.к. схема небольшая есть возможность поставить элементы на большем расстоянии друг от друга, чем обычно, что в свою очередь дает возможность неопытным учащимся самостоятельно перепаивать элементы схемы при ее ремонте. Для расчета данного производственного участка сборки и монтажа ГПН необходимо определить: количество рабочих мест, общую численность участка, фонд заработной платы, стоимость основных фондов участка, цеховую себестоимость изделия и технико-экономические показатели участка. Все эти показатели определяются в данной работе, кроме того прибыль и рентабельность. В курсовой работе рассчитываются следующие виды прибыли: прибыль от реализации, балансовая прибыль, налогооблагаемая прибыль и нераспределенная прибыль. Зная значения этих видов прибыли и рентабельность, можно сделать вывод об эффективности данного производства.
Метод расчета количества рабочих мест при изготовлении запланированного объема продукции зависит от формы организации производственного процесса. Наиболее прогрессивным и эффективным в условиях развития предметной специализации является конечное производство.
Это форма организации производственного процесса обычно применяются в массовом и серийном производстве и характеризуется постоянным закреплением операций за оборудованием рабочего места, ритмичностью выпуска изделий, непрерывностью и прямоточностью процесса. Поточная форма производства предполагает ритмичную согласованную работу отдельных звеньев производства с целью обеспечения непрерывного перемещения предметов труда (деталей, сборочных единиц и т.д.) с одного рабочего места на другое. Это достигается за счет поддержания такта потока, который определяется по формуле:
П г – годовая программа выпуска изделий по плану.
Действительный фонд рабочего времени рассчитывается по формуле:
Д вых – количество выходных дней в году, Д пр – количество праздничных дней, Т см – продолжительность рабочей смены, К см – коэффициент сменности, К ппр – коэффициент потерь времени на проведение планово-предупредительных ремонтов (5%) .
С п – принятое число рабочих мест, Т шт – норма времени на операцию.
Результаты расчетов сведены в таблицу 1.1. Таблица 1.1.
Определение количества рабочих, специалистов и служащих. Число производственных рабочих, необходимых для обеспечения поточного производства определяется в соответствии с принятым количеством смен и рабочих мест, с учетом совмещения профессий.
Р – рабочие места, М – смены.
Ч вср = 0,3ґ 68 = 20,4 = 21 Численность специалистов, служащих и руководства соответственно равна 14%, 7% и 2% от численности производственных рабочих. Ч спец = 68ґ 0,14 = 9,52 = 10 Ч служ = 68ґ 0,07 = 4,76 = 5 Ч рук = 68ґ 0,02 = 1,36 = 2 Результаты вычислений сведены в таблицу 1.2. Таблица 1.2.
Таким образом, общая численность работающих на этом производстве составляет 106 человек. При планировании производственного процесса необходимо учесть все затраты производства с целью назначения цены за свою продукцию. Одной из существенных статей затрат является оплата труда работников. Средства, предназначенные на выплату заработной платы, формируются в фонд оплаты труда (ФОТ) , который складывается из следующих составляющих: ФОТ = ОЗП + ДЗП + ОСС ; (2.1) ОЗП – основная заработная плата работников ДЗП – дополнительная заработная плата работников ОСС – отчисления на социальное страхование Фонд основной заработной платы производственных рабочих рассчитывается по сумме расценок на изделия умноженной на готовую программу.
Расценки на операции рассчитывается по формуле:
Т шт – штучная норма времени на операцию (мин) , Т ст – часовая тарифная ставка рабочего определенного разряда (руб.) .
Таблица 2.1.
Таким образом, сумма расценок на операции равна: S р = Р о1 + Р о2 + Р о3 +…; (2.3) S р = 13,724 руб. Прямая заработная плата основных рабочих рассчитывается по формуле: ПЗП осн = S рґ П г ; (2.4) ПЗП осн = 13,724ґ 159298 = 2186205 руб.
Премия для основных рабочих рассчитывается по формуле:
ОЗП осн = ПЗП осн + ПР осн ; (2.6) ОЗП осн = 2186205+1311723 = 3497928 руб.
Кроме того, основным рабочим выплачивают дополнительную заработную плату (ДЗП) (оплата отпусков, выполнение государственных обязанностей) , которая составляет 9% от ОЗП:
Итого начислено на заработную плату 39,5 %
ФОТ осн = ОЗП осн + ДЗП осн + ОСС осн ; (2.9) ФОТ осн = 3497928+314813+1506033 = 5318774 руб. Прямая заработная плата вспомогательных рабочих: ПЗП всп = Ф дґ Ч вспґ Т сср ; (2.10) Т сср – средняя часовая ставка вспомогательных рабочих. ПЗП всп = 1892,4ґ 21ґ 14,544 = 577984 руб. ПЗП специалистов и служащих рассчитывается исходя из месячной ставки, количества работающих по каждой штатной должности, количества рабочих месяцев и норматива премии: ПЗП спец = ОМґ Ч спецґ 11; (2.11) где ОМ – месячный оклад специалистов – 5000 рублей, Ч спец - количество специалистов, 11 – число рабочих месяцев. ПЗП спец = 5000ґ 10ґ 11 = 550000 руб. ПЗП служащих рассчитывается аналогично. Месячный оклад составляет 3000 рублей: ПЗП служ = 3000ґ 5ґ 11 = 165000 руб. Месячный оклад руководителей составляет 8000 рублей, поэтому ПЗП руководителей будет составлять: ПЗП рук = 8000ґ 2ґ 11 = 176000 руб. Премия берется в размере 50 % от ПЗП соответственно категории работника. Дополнительная заработная плата берется в размере 9% от суммы премии и прямой заработной платы соответственно категории работника. Начисление на социальное страхование по заработной плате вычисляется в размере 39,5 % от суммы прямой заработной платы и премии и дополнительной заработной платы. Результаты расчета в таблице 2.2. Таблица 2.2.
К основным фондам относятся здания, сооружения, основное и вспомогательное оборудование, инструменты, приспособление и инвентарь. S рм = Ч общґ Н рп ; (3.1) где Н рп – норматив площади на одного рабочего (5м) S рм = 106ґ 5 = 530 м 2 Площадь проходов определяется: S пр = S рмґ Н пр /100; (3.2) где Нпр – норматив площади проходов (20% от Sрм) S пр = 530ґ 0,2 = 106 м 2 Площадь производственного участка: S пруч = S рм + S пр ; (3.3) S пруч = 530+106 = 636 м 2
Определяем величину дополнительной площади. Для этого определяем площадь складских помещений, которая определяется по формуле:
S склпом = 636ґ 0,055 = 34,98 м 2
Определяем площадь конторских помещений:
S контпом = 636ґ 0,1 = 63,6 м 2
Площадь бытовых помещений определяется по формуле:
S бытпом = 636ґ 0,2 = 127,2 м 2 Внутренняя площадь помещений определяется по формуле: S внутрпом = S пруч + S склпом + S контпом + S бытпом ; (3.7) S внутрпом = 636+34,98+63,6+127,2 = 861,78 м 2 Таблица 3.1.
Стоимость инструмента рассчитывается как 5% от стоимости оборудования: СТ инс = 765000ґ 0,05 = 38000 руб. Стоимость производственного инвентаря рассчитывается как 1% от стоимости оборудования: СТ инвпр = 765000ґ 0,01 = 7650 руб. Стоимость хозяйственного инвентаря рассчитывается исходя из нормы 7000 руб. на каждого основного и вспомогательного рабочего: СТ хи освсп = ( Ч осн +Ч всп ) ґ 7000; (3.8) СТ хи освсп = (68+21) ґ 7000 = 623000 руб. Стоимость хозяйственного инвентаря для остальных категорий работников рассчитывается исходя из нормы 5960 руб. на человека: СТ хи рсс = ( Ч рук + Ч спец + Ч служ ) ґ 5960; (3.9) Таким образом, стоимость хозяйственного инвентаря равна: СТ хи = СТ хи освсп +СТ хи рсс ; (3.10) СТ хи = 623000+101320 = 724320 руб.
Годовые амортизационные отчисления основных производственных фондов рассчитывается для зданий. Амортизационные отчисления составляют:
СТ зд – стоимость здания Т. к. здание арендуем, то АО зд = 0 Расчеты готовых АО для оборудования, инструмента, инвентаря производится аналогично. Результаты вычислений приведены в таблице 3.3.1. Таблица 3.3.1.
Общие годовые АО на данном предприятии составляют 199073 руб.
С целью определения себестоимости в условиях запроектированной организации производства необходимо рассчитать величину отдельных элементов и статей затрат. Цеховая себестоимость включает в себя следующие статьи затрат:
Произведя расчет, получили исходную себестоимость. Прямые и материальные затраты складываются из стоимости сырья, материалов и стоимости покупных полуфабрикатов. 4.1. Расчет стоимости материалов производится по формуле: С мi = Н рiґ ОЦ i ; (4.1) Н рi – норма расходов i -того материала на единицу изделия ОЦ i – оптовая цена за 1 кг i -того материала Стоимость различных материалов требуемых для изготовления 1 изделия представлены в таблице 4.1. Таблица 4.1.
Общая стоимость материалов, требуемых для изготовления 1 изделия, с учетом транспортно-заготовительных расходов ведется по формуле: СТ м = СТ мiґ (1+ Н тзр /100) ; (4.2) где СТ мi – общая стоимость материалов, требуемая для изготовления одного изделия. Н тзр – норматив транспортно-заготовительных расходов (6%) . СТ м = 12,37 (1+0,06) = 13,11 руб. 4.2. Расчет стоимости покупных полуфабрикатов, цены и количество покупных полуфабрикатов, используемых на данном производстве, представлены в таблице 4.2. Таблица 4.2.
Расчет общей стоимости полуфабрикатов, требуемых для изготовления 1 изделия, с учетом транспортно-заготовительных расходов ведется по формуле: СТ п = СТ пiґ (1+ Н тзр /100) ; (4.3) где СТ пi – общая стоимость покупных полуфабрикатов, требуемых на изготовление 1 изделия. СТп = 32 (1+0,06) = 33,92 руб.
4.3. Фонд заработной платы основных рабочих на 1 изделие рассчитывается по формуле:
ФЗП осн – фонд заработной платы основных производственных рабочих представлены в разделе 2 ( ОЗП + ДЗП ) .
4.51. Стоимость технологической электроэнергии рассчитывается по формуле:
З аооб = 107500 руб. 4.5.4. Прочие РСЭО составляют 5% от суммы вышеперечисленных затрат: Р пр = ( СТ тэ + З тр + З аооб ) ґ 0,05; (4.8) Таким образом РСЭО составляют: Р пр = (2369235+24090+107500) ґ 0,05 = 125041,25 руб.
РСЭО на одно изделие рассчитываются по формуле:
4.6. К общецеховым расходам относятся:
4.6.1. Общая заработная плата вспомогательных рабочих, служащих, специалистов и руководителей складывается из ФОТ. Значения этих фондов представлены в разделе 2. ФОТ общ = ФОТ всп + ФОТ спец + ФОТ служ + ФОТ рук ; (4.10) ФОТ общ = 1318280+1254454+376336+401425 = 3350495 руб. Так как здание берется в аренду, то амортизационные отчисления здания равны 0. 4.6.2. Стоимость электроэнергии на хозяйственные нужды рассчитывается по формуле: СТ эх = Ф дґ П элґ Т эґ S вп ; (4.11) где П эл – потребность в освещении (0,026 кВт/м 2 ) , S вп – площадь внутренних помещений (861,78 м 2 ) . СТ эх = 1892,4ґ 0,026ґ 0,5ґ 861,8 = 21201 руб. 4.6.3. Затраты на текущий ремонт здания составляют 1 % от его стоимости. Так как аренда, то затраты равны 0. 4.6.4. Затраты на текущий ремонт производственного инвентаря составляют 10% от его стоимости: З трпи = СТ инвпрґ 0,1; (4.12) З трпи = 7650ґ 0,1 = 765 руб. 4.6.5. Годовые АО производственного инвентаря рассчитаны в разделе 3.3. и составляют: АО инв = 1032,75 руб. 4.6.6. Затраты на износ малоценного инвентаря вычисляются из расчета 45 руб. на одного основного рабочего. З ими = 45ґ Ч раб ; (4.13) З ими = 45ґ 68 = 3060 руб. 4.6.7. Затраты на рационализацию и изобретательство берутся в расчете 380 руб. на одного основного рабочего. З ир = 380ґ Ч осн ; (4.14) З ир = 380ґ 68 = 26840 руб. 4.6.8. Затраты на охрану труда и технику безопасности вычисляется из расчета 417 руб. на каждого основного и вспомогательного рабочего: З от и тб = ( Ч осн + Ч всп ) ґ 417; (4.15) З от и тб = (68+21) ґ 417 = 37113 руб. 4.6.9. Прочие расходы берутся в расчете 70 руб. на каждого работающего на предприятии: Р пр = Ч общґ 70; (4.16) Р пр = 106ґ 70 = 7420 руб. Таким образом, общецеховые расходы (ОЦР) составляют: ОЦР = ФОТ общ + СТ эх + АО зд + З трз + З трпи + З ими + Зпр + З от и тб + Р пр ; (4.17) ОЦР = 3350495+21201+765+3060+25840+37113+7420 = 3445894 руб.
ОЦР на 1-но изделие составляет:
4.7. Расчет общезаводских расходов. К общезаводским расходам относятся:
Н авт = 75ґ 2+130ґ 5 = 800 руб.
Н зем = S здґ 10; (4.21) Н зем = 861,8ґ 10 = 8618 руб.
О уб = ( ФОТ + ( СТ м + СТ п ) ґ П г ) ґ 0,01; (4.22) О уб = (8669269+ (12,37+32) ґ 159298) ґ 0,01 = 157373 руб. Общезаводские расходы состовляют: Р оз = О уб + Н зем + Н авт + Н авд + Н тр + Р пр ; (4.23)
Р
оз
= 157373+8618+800+57014+701338 = 925143
4.8. Калькуляция цеховой себестоимости изделия. Таблица 4.3.
Проведенный расчет показал, что себестоимость 1 изделия составляет 121,7 руб. Общая себестоимость изделий при выполнении обще годовой программы составляет: Сб общ = Сб 1ґ П г ; (4.25) Сб общ = 121,7ґ 159298 = 19386567 руб.
Прибыль от реализации продукции рассчитывается по формуле: ПР р = Выр - НДС - АКЦ - Себ ; (5.1) где Выр – величина задана и равна 35066906 руб. НДС – 20% от выручки, АКЦ – 5% от выручки, Себ – общая себестоимость. ПР р = 35066906-7013381-1753345-19386567 = 6913613 руб. При расчете этого вида прибыли учитываются следующие доходы и затраты:
У хищ = ПР рґ 0,01; (5.2) У хищ = 6913613ґ 0,01 = 69136 руб.
Балансовая прибыль определяется по формуле: ПР б = ПР р + ПР вн - Р вн ; (5.3) где ПР вн – прибыль от внереализационных доходов, она состоит из суммы доходов: От сдачи в аренду транспорта, помещений; Доходов по банковскому депозиту; Штрафов от должников. Р вн – внереализационные расходы, определяются как сумма убытков от хищений и затрат на производство не давшее продукции. ПР б = 6913613+345681+58750-69136-15389 = 7233519 руб.
Этот вид прибыли включает в себя доходы ранее обложенные налогом:
а) налог на имущество, составляющий 1,5% от среднегодовой стоимости имущества (стоимость основных производственных фондов) :
ПР н = ПР б - ПР бд - Н фпр ; (5.7) ПР н = 7233519-345681-35024,55-526003,6-62145,3 = 6264664,55 руб.
Норма расходов на оплату труда не облагаемых подоходным налогом рассчитывается по формуле: Н от = 6ґ ЗП minґ Ч предґ N ; (5.8) ЗП min – минимальная месячная заработная плата (132 руб.) , Ч пред – численность работников, N – количество рабочих месяцев (12) . Н от = 6ґ 132ґ 106ґ 12 = 1007424 руб.
Налог на прибыль рассчитывается по формуле:
ПР ч = ПР н - Н пр ; (5.10) ПР ч = 6264664,55-1,879399,4 = 4385465,15 руб. Этот вид прибыли включает в себя:
ОП тр = 320ґ Ч рабґ 11; (5.11) ОП тр = 320ґ 106ґ 11 = 373120 руб. Нераспределенная прибыль: ПР нер = ПР ч - ПР исп ; (5.12) где ПР исп – используемая прибыль, определяемая как сумма вышеперечисленных отчислений. ПР нер = 4385265,15-7000-1500-100000-373120 = 3903645,15 руб.
Рентабельность предприятия рассчитывается по формуле:
В данном разделе произведены расчеты технико-экономических показателей работы предприятия, которые сведены в таблицу 7.1.
В выр = 1,9ґ П гґ Сб 1 ; (7.5) В выр = 1,9ґ 159298ґ 121,7 = 36834476,5 руб. Таблица 7.1.
Вывод: Производство генератора пилообразного напряжения признается экономически целесообразным, т.к. приведенные показатели соответствуют нормативам.
Заключение. При расчете курсовой работы были получены следующие технико-экономические показатели: производственная программа - 159298 шт. ; численность предприятия - 106 чел; стоимость основных производственных фондов - 2334970 руб. ; фондовооруженность труда - 22028 руб./чел; энерговооруженность труда - 17,95 кВт/чел; фондоотдача - 2,96 шт./чел; годовая производительность труда - 2343 руб./руб. ; валовая выручка - 36834476,5 руб. ; чистая прибыль - 4385265 руб. ; рентабельность предприятия - 76,93%; рентабельность продукции - 37,31%. Полученная рентабельность показывает, что организация труда и средств на данном предприятии является экономически правильной и эффективной. Т. к. все показатели соответствуют нормативам – производство генератора пилообразного напряжения признается экономически целесообразным.
Список литературы . 1. Е. М. Карастелева. Экономика, организация и планирование производства в приборостроении - Москва: Экономика, 1986. 2. Электронные компоненты для разработки, производства и ремонта (Чип и Дип) № 4 – Москва: Электронные компоненты, 10.08.1999. Поделитесь этой записью или добавьте в закладки |
Полезные публикации | ||||||||||||||||||||||||||||||||||||||||||||||||||||||||||||||||||||||||||||||||||||||||||||||||||||||||||||||||||||||||||||||||||||||||||||||||||||||||||||||||||||||||||||||||||||||||||||||||||||||||||||||||||||||||||||||||||||||||||||||||||||||||||||||||||||||||||||||||||||||||||||||||||||||||||||||||||||||||||||||||||||||||||||||||||||||||||||||||||||||||||||||||||||||||||||||||||||||||||||||||||||||||||||||||||||||||||||||||||||||||
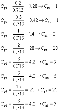
Определяем количество рабочих мест используемых отдельно на каждой операции:
Определяем коэффициент загрузки рабочих мест
Расценка на изделие в целом представлена в таблице 2.1.
Кроме того, сумму основной и дополнительной заработной плата делают начисления в размере 39,5 %, что составляет отчисления на социальное страхование:
Таким образом, ФОТ основных рабочих будет равен сумме основной, дополнительной заработной платы и отчислений на социальное страхование:
Все вышеперечисленные расходы по постоянным и переменным издержкам представлены в таблице 4.3.
б) налог на содержание жилищного фонда, составляющий 1,5% от выручки от реализации без НДС:
в) сбор на нужды образовательных учреждений, 1% суммы начислений заработной платы (ОЗП + ДЗП) , которая рассчитывалась во 2 разделе:
Налогооблагаемая прибыль составляет:
Прибыль чистая определяется как разница между налогооблагаемой прибылью и вышеперечисленными налогами:
Из произведенного расчета рентабельности производства видно, что организация труда и средств на данном предприятии является экономически правильной и эффективной.
Главная