Модель смены технологического уклада
Для динамического и эффективного развития производства необходимо систематически обновлять производственный аппарат. В условиях рыночной экономики закон конкуренции неумолимо заставляет предпринимателей заменять устаревшее оборудование на новое В нашей стране массовое перевооружение производства проводилось во время индустриализации и в послевоенный период, затем новое оборудование устанавливалось на новых предприятиях и на предприятиях оборонного комплекса, в то время как старые предприятия относительно редко подвергались реконструкции и перевооружению. В условиях переходного периода и инфляции капиталовложения сократились, усилился процесс физического старения фондов. К настоящему времени износ ОПФ в промышленности превысил 50%, поэтому вновь назрела острая необходимость массовой модернизации производства.
Необходимость в перевооружении возникает тогда, когда старый способ производства уже полностью исчерпал себя, поэтому дальнейшие вложения в него нецелесообразны. В модели вначале действует только старый способ производства, затем в процессе перевооружения сосуществуют старый и новый способы до тех пор, пока доминирующим не станет новый способ. Затем все повторяется: новейший способ заменяет новый. В реальной экономике процессы перевооружения в разных производственных ячейках и подсистемах могут проходить асинхронно, поэтому чёткая, но угловатая картина, даваемая моделью, станет более размытой и сглаженной. Пусть заданы ПФ Кобба-Дугласа старого и нового способов для ВВП:
Поскольку старый способ исчерпал себя, то к началу перевооружения он уже находился в стационарном режиме, следовательно,
где
Будем считать, что инвестиции старого способа в создание нового способа происходят с фиксированным лагом
Если удельное потребление можно сократить до уровня
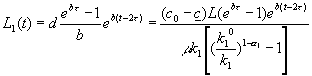
За время
Переходный период
Этап накопления (
Накопление происходит за счет сокращения удельного потребления до минимально допустимого уровня
Этап отдачи накоплений (
Накопления старого способа в новый начинают давать отдачу, старый способ прекращает накопления для нового, поэтому
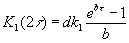
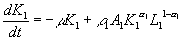
Фонды нового способа удовлетворяют дифференциальному уравнению
Поскольку
Уравнение (4) имеет следующее решение:
откуда
Таким образом, доля нового способа в использовании трудовых ресурсов L экспоненциально растет, начиная с
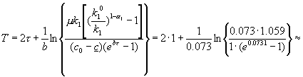
Момент окончания переходного процесса Т определяется из уравнения
При
Если фондовооруженность
Если же неравенство (7) не выполнено, то имеет место замедленный переходный процесс, который оканчивается при
Этап завершения переходного процесса (
При
Удельные показатели записываются так же, как на втором этапе.
Уравнение для фондов в этом случае примет вид
Уравнение (9) имеет следующее решение:
Условие
После полного вытеснения старого способа с момента
Рассмотрим использование модели на примере АО “Мотовилихинские заводы” . Руководство предприятий рассматривает проект по реконструкции действующего производства с заменой физически и морально устаревшего оборудования. Продукция имеет устойчивый рынок сбыта в регионах России.
В результате исследований, проведенных на предприятиях, были получены следующие данные:
Неравенство
Поделитесь этой записью или добавьте в закладки |
Полезные публикации |
. (1)
- стационарная фондовооруженность нового способа при норме накопления
,
,
,
.
,
, (6) откуда
. (7) Поскольку уравнение (6) верно при
. (8)
, откуда
.
. (10)
Вычисляем:
.
2 года 4 месяца.
Главная