Лизинг - одна из форм кредита
Содержание: 1. Введение 2. Немного истории 3. Понятие лизинга 4. Формы и виды лизинговых операций 5. Плюсы и минусы лизинга. Что выбрать? 6. Заключение 7. Список использованной литературы
Введение. Преобразование сферы производства и обращения, глубокие изменения экономических условий хозяйствования вызывают необходимость внедрения не традиционных для нашей экономики методов обновления материальной базы. Рыночные отношения предполагают оздоровление кредитно-финансовой системы и сокращение государственных инвестиций, появляются всевозможные варианты достижения целей, поставленных различными субъектами экономических отношений. Ускорение научно-технического прогресса, как объективная необходимость современного экономического развития, обусловило создание и все возрастающую эксплуатацию нового высокопроизводительного оборудования. Стоимость этой техники постоянно и значительно возрастает, что затрудняет ее обновление. Ускорились темпы морального старения, предполагающего необходимость периодической замены основных средств. Обострившаяся конкуренция заставляет многие фирмы промышленно развитых стран интенсивно использовать имеющиеся средства производства, прибегая к более совершенным средствам их приобретения, использования и обслуживания. Существуют два способа приобретения оборудования – его покупка и лизинг. В условиях жесткой конкуренции за внутренние и внешние рынки все более важным становится улучшение не только технических характеристик оборудования, но и финансовых условий, на основе которых оно предлагается потребителям. Лизинг позволяет удовлетворить и то и другое условие. До 60-х годов 20 столетия в лизинг брали лишь землю и недвижимость. В течение последних трех десятилетий популярность лизинга резко возросла. Сегодня в аренду можно взять, практически, все что угодно. Вместо того, чтобы занимать деньги для покупки самолета, автомобиля, компьютера или спутника компания может взять его в лизинг. Железнодорожные или авиакомпании берут в лизинг огромное количество оборудования, многие компании берут в лизинг все свое имущество, а магазины - здания и склады. В России лизинг еще только приживается. До недавнего времени лизинг, в сравнительно небольших объемах, применялся лишь в международной торговле. Это молодое, но очень перспективное направление финансовой деятельности в нашей стране. На фоне постоянной нехватки средств, сильно устаревшего оборудования и спада производства, а так же постоянно растущей конкуренции, актуальность развития лизинга очень велика . Немного истории. Идея лизинга не нова. Документы свидетельствуют, что аренда (лизинг) известна человеку с незапамятных времен. По мнению историков и экономистов, лизинговые сделки заключались еще задолго до новой эры в древнем государстве Шумер. Раскрытие сущности лизинговой сделки восходит к далеким временам Аристотеля (384 / 383 - 322 г. г. до н.э.) . Именно он коснулся идеи лизинга с своем трактате “Богатство состоит в пользовании, а не в праве собственности” . Иными словами, не обязательно для получения дохода иметь в собственности какое - либо имущество, достаточно лишь иметь право пользоваться им и в результате этого получать доход. Лизинг в древности не был ограничен арендой каких-либо конкретных типов собственности. Фактически из истории известно, что арендовались не только различные типы сельскохозяйственной техники и ремесленного оборудования, но даже военная техника. В Венеции уже в 11 веке существовали сделки, схожие с лизинговыми операциями: венецианцы сдавали в аренду торговцам и владельцам торговых судов очень дорогие по тем временам якоря. По окончании плавания “чугунные ценности” возвращались их владельцам которые вновь сдавали их в аренду. В Великобритании одним из первых нормативных актов, регулирующих отношения, схожие с лизинговыми, был Закон (Устав) Уэльса 1284 года (Statute of Wales) . В 1572 году в Великобритании был принят законодательный акт, разрешающий использовать только действительный, а не мнимый лизинг, то есть законными признавались арендные договоры, подписываемые на разумных основаниях, так как к тому времени участились сделки, имеющие целью сокрытие истинного положения вещей - кто собственник, кто владелец. Использовалось это как средство скрытой передачи собственности, то есть для введения в заблуждение кредиторов. В начале XX века многие железнодорожные лизинговые компании осознали, что возрастающее число грузоотправителей не желает осуществлять долгосрочное управление или монопольное использование вагонов, что предусматривало предоставление оборудования в трастовое (доверительное) пользование. Вместо этого они требовали лишь краткосрочного его использования. Трасты стали предлагать контракты с более коротким сроком действия. По окончании контракта вагоны должны были возвращаться арендодателю, который сохранял за собой право собственности. Такие арендные договоры заложили начало операционного лизинга. В это же время стал быстро наращивать масштабы лизинговый бизнес, связанный с транспортными средствами. В 30-е годы Генри Форд эффективно использовал аренду для расширения сбыта своих автомобилей. Однако “законным отцом” автомобильного лизингового бизнеса считается Золли Фрэнк - торговый агент из Чикаго, который в начале 40-х годов первым предложил долгосрочную аренду автомобилей. В России с понятием “лизинг” познакомились во время второй мировой войны, когда в 1941 - 1945 годах по leand - lease осуществлялись поставки американской техники. Однако настоящая революция в арендных отношениях произошла в Америке в начале 50-х годов нашего столетия. В аренду стали массово сдаваться средства производства: технологическое оборудование, машины и механизмы, суда, самолеты и т.д. Правительство США, оценив это явление, оперативно разработало и реализовало государственную программу его стимулирования. Введение в экономический лексикон термина “лизинг” (от англ. leaise – сдавать в наем) связывают с операциями телефонной компании “Белл” , руководство которой в 1877г. приняло решение не продавать свои телефонные аппараты, а сдавать в аренду. Первым акционерным обществом, для которого лизинговые операции стали основным видом деятельности, является созданная в 1952 году в Сан-Франциско известная американская компания “United States Leasing Corporation” . Таким образом США стали родиной нового бизнеса. К середине 60-х годов лизинговые операции в этой стране составляли 1 млрд. $, а к концу 80-х они превысили 110 млрд. $, т.е. за четверть века увеличились более чем в сто раз. Столь стремительный рост операций по аренде вызван определенными преимуществами, получаемыми партнерами по лизинговой сделке. Лизинговые операции довольно быстро пересекли границы США и, следовательно, появилось такое важное для развития лизингового бизнеса понятие как международный лизинг. В настоящее время основная часть лизинговых услуг сосредоточена в треугольнике “США – Западная Европа – Япония” . В Западной Европе лизингодателями выступают преимущественно специализированные лизинговые компании, которые в 75-80% случаев контролируются банками или считаются их дочерними обществами. Начало развития лизинговых операций на отечественном внутреннем рынке можно определить серединой 1989 года в связи с переводом предприятий на арендные формы хозяйствования. Заметным явлением в становлении начальных правил применения лизинга стали Основы законодательства СССР об аренде от 23 ноября 1989 года № 810-1 и письмо Госбанка СССР от 16 февраля 1990 года № 270 “О плане счетов бухгалтерского учета” , в котором был представлен порядок отражения лизинга в бухгалтерском учете. Развитие сети коммерческих банков способствовало внедрению лизинговых операций в банковскую практику. В июне 1991 года была создана, а с декабря того же года приступила к деятельности, международная советско-немецкая лизинговая компания “Евролизинг” . Ее учредителями с советской стороны стали Внешэкономбанк СССР, Совморфлот и Госснаб СССР, с французской - один из крупнейших банков Европы “Банк Насиональ де Пари” , а с немецкой - одна из крупнейших лизинговых компаний Западной Германии - “Митфинанц ГмбХ” . Российские лизинговые компании начали образовываться с середины 1990 года. В октябре 1994 года была создана Российская ассоциация лизинговых компаний “Рослизинг” . В 1994 году “Рослизинг” стал корреспондентским членом Европейской федерации ассоциаций лизинговых компаний “LEASEUROPE” .
Понятие лизинга и основные элементы лизинговых операций. В мировой практике термин “лизинг” используется для обозначения различного рода сделок, основанных на аренде товаров длительного пользования. В зависимости от срока, на который заключается договор аренды, различают три вида арендных операций:
Поэтому под лизингом обычно понимают долгосрочную аренду машин и оборудования или договор аренды машин и оборудования, купленных арендодателем для арендатора с целью их производственного использования, при сохранении права собственности на них за арендодателем на весь срок договора. [2] Другое определение звучит так: Лизинг представляет собой договор аренды, предусматривающий предоставление лизингодателем (арендодателем) принадлежащих ему оборудования, машин, ЭВМ, оргтехники, транспортных средств, сооружений производственного, торгового и складского назначения лизингополучателю (арендатору) в исключительное пользование на установленный срок за определенное вознаграждение - арендную плату, которая включает процентную ставку, закрывающую стоимость привлечения средств арендодателем на денежном рынке с учетом необходимой прибыли банка и амортизацию имущества[3]. Кроме того, лизинг можно рассматривать как специфическую форму финансирования вложений в основные фонды при посредничестве специализированной (лизинговой) компании, которая приобретает для третьего лица имущество и отдает ему в аренду на долгосрочный период. Таким образом, лизинговая компания фактически кредитует арендатора. Поэтому лизинг иногда называют “кредит – аренда” . В отличии от договора купли-продажи, по которому право собственности на товар переходит от продавца к покупателю, при лизинге собственность на предмет аренды сохраняется за арендодателем, а лизингополучатель приобретает лишь его во временное пользование. По истечении срока лизингового договора лизингополучатель может приобрести объект сделки по согласованной цене, продлить договор лизинга или вернуть оборудование владельцу по истечении срока договора. С экономической точки зрения лизинг имеет сходство с кредитом, предоставленным на покупку оборудования. При кредите в основные фонды заемщик вносит в установленные сроки платежи в погашение долга; при этом банк для обеспечения возврата кредита сохраняет за собой право собственности на кредитуемый объект до полного погашения ссуды. При лизинге арендатор становится владельцем взятого в аренду имущества только по истечении срока договора и выплаты им полной стоимости арендованного имущества. Однако такое сходство характерно лишь для финансового лизинга. Для другого вида лизинга – оперативного – наблюдается большее сходство с классической арендой оборудования. Лизингодатель и лизингополучатель оперируют с капиталом не в денежной, а в товарной форме, что сближает лизинг с инвестированием. Лизинговые операции приравниваются к кредитным со всеми вытекающими из этого правами и нормами государственного регулирования. Однако от кредита лизинг отличается тем, что после окончания его срока и выплаты всей обусловленной суммы договора объект лизинга остается собственностью лизингодателя (если договором не предусмотрен выкуп объекта лизинга по остаточной стоимости или передача в собственность лизингополучателя) . При кредите же банк оставляет за собой право собственности на объект как залог ссуды [3]. Экономическая сущность лизинга делает его применение наиболее эффективным в отраслях, выпускающих продукцию высокой степени готовности, сбыт которой во многом определяется ее конкурентоспособностью и наличием средств у пользователя этой продукции. По своей юридической форме лизинговая сделка является своеобразным видом долгосрочной аренды инвестиционных ценностей. Четкое определение лизинговой операции имеет важное практическое значение, т.к. при несоблюдении установленных законом правил ее оформления она не может быть признана лизинговой сделкой, что чревато для участников операции рядом неблагоприятных финансовых последствий. Основные элементы лизинговой операции. Основу лизинговой сделки составляют:
Объект лизинга . Объектом лизинговой сделки может быть любой вид материальных ценностей, если он не уничтожается в производственном цикле. Том числе предприятия и другие имущественные комплексы, здания, сооружения, оборудование, транспортные средства и другое движимое и недвижимое имущество, которое может использоваться для предпринимательской деятельности. Чаще всего в лизинг берут: — Транспортное оборудование (транспортные самолеты, автомобили, морские суда, железнодорожные вагоны и т.п.) — Оборудование связи (радиостанции, спутники, почтовое оборудование и т.п.) — Сельскохозяйственное оборудование (трактора, плуги и т.п.) — Строительное (краны, бетономешалки, экскаваторы и т.п.) Субъект лизинга. Субъектами лизинговой сделки являются стороны, имеющие непосредственное отношение к объекту сделки. При этом их можно подразделить на прямых и косвенных участников. К прямым участникам лизинговой сделки относятся:
Косвенными участниками лизинговой сделки являются коммерческие и инвестиционные банки, кредитующие лизингодателя и выступающие гарантом сделок, страховые компании, брокерские и другие посреднические фирмы. “Лизинговыми” называют все фирмы, осуществляющие арендные отношения независимо от вида аренды (краткосрочной, среднесрочной, долгосрочной) . По характеру своей деятельности они подразделяются на узкоспециализированные и универсальные. Узкоспециализированные компании обычно имеют дело с одним видом товара (легковые автомобили, контейнеры) или с товарами одной группы стандартных видов (строительное оборудование, оборудование для текстильных предприятий) . Эти фирмы, как правило, располагают собственным парком машин или запасом оборудования и предоставляют их потребителю (арендатору) по первому требованию клиента. Лизинговые компании в основном сами осуществляют техническое обслуживание и следят за поддержанием его в нормальном эксплутационном состоянии. Универсальные лизинговые фирмы передают в аренду самые разнообразные виды машин и оборудования. Дают возможность арендатору самому выбирать поставщика оборудования. Лизингодатель, таким образом, выполняет фактически функцию учреждения, организующего финансовые сделки. Срок лизинга. Под периодом лиза понимается срок действия лизингового договора. При установлении срока учитываются следующие моменты: - срок службы оборудования , определятся технико-экономическими данными. Срок контракта не может превышать срока возможной эксплуатации оборудования.
Стоимость лизинга. Определение суммы платежей является сложным моментом. При краткосрочной и среднесрочной аренде сумма арендных выплат устанавливается конъюнктурой рынка арендуемых товаров. При лизинге в основу расчета платежей Закладываются методически обоснованные расчеты, что связанно со стоимостью объекта и продолжительным сроком контракта. В состав любого лизингового платежа входят следующие элементы:
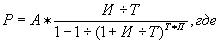
Плата за ресурсы, лизинговая маржа и рисковая премия составляют лизинговый процент. Для расчета суммы арендных платежей используется формула аннуитетов (ежегодных платежей по конкретному займу) , которая выражает взаимосвязанное действие на их величину всех условий лизингового соглашения: суммы и срока контракта, уровня лизингового процента, периодичности платежей.
Эта формула имеет такой вид:
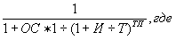
Для определения суммы платежа, скорректированного на величину выбранной клиентом остаточной стоимости, применяется формула дисконтного множителя :
ОС – остаточная стоимость. Услуги, предоставляемые по лизингу. Лизинг характеризуется большим разнообразием услуг, которые могут быть предоставлены лизингополучателю. Они делятся на две группы: - технические услуги (транспортировка к месту использования, наладка и монтаж, техобслуживание и текущий ремонт) ; - консультационные услуги (вопросы налогообложения, оформление сделки) . Лизинг - операция, отличающаяся довольно сложной организацией. Во многих сделках имеют место как минимум три контракта : - между арендатором и арендодателем; - между поставщиком и арендодателем; - между арендодателем и его банком. Обычно перед началом сделки производится тщательный анализ клиента , в который входит: - оценка клиента по его способности выплатить арендные платежи и по его предварительным доходам от использования арендуемого оборудования; - оценка товаров (спрос на них с точки зрения возможной перепродажи) . Таким образом, в основе лизинговой сделки лежат следующие документы:
В лизинге очень важна гарантия того, что к концу контракта оборудование будет иметь определенную остаточную стоимость. Для этого существует система страхования остаточной стоимости. Погашение лизинговых обязательств может происходить как в денежной, так и в другой форме. Так, при лизинге в развивающихся странах часто используются элементы бартерной сделки. В счет арендных платежей идет товар, производимый арендатором (нефть, алмазы, кожа и т.д.) . Но здесь нужно привлекать третью сторону, которая будет заниматься продажей этих товаров за свободно конвертируемую валюту. Необходимо отметить, что в области лизинга движимого имущества за последние годы были выработаны, хотя и с некоторыми нюансами, стандартные типы контрактов, в то время как в области лизинга недвижимого имущества отдельные пункты контрактов составляются, как правило, в индивидуальном порядке с учетом величины объектов и более продолжительных сроков действия заключаемых контрактов. Однако практически любой лизинговый контракт должен включать в себя следующие элементы:
Формы и виды лизинговых операций. При выделении видов лизинга исходят прежде всего из признаков их классификации, которые характеризуют: отношение к арендуемому имуществу; тип финансирования лизинговой операции; тип лизингового имущества; состав участников лизинговой сделки; тип передаваемого в лизинг имущества; степень окупаемости лизингового имущества; сектор рынка, где проводятся лизинговые операции; отношение к налоговым, таможенным и амортизационным льготам и преференциям; порядок лизинговых платежей. Формы лизинга: 1. По типу имущества :
2. По степени окупаемости имущества: - лизинг с полной окупаемостью ( в течении срока действия договора происходит полная выплата стоимости арендного имущества) - лизинг с неполной окупаемостью , при котором в течение срока действия одного лизингового договора происходит частичная амортизация имущества и окупается только часть ее. 3. В зависимости от степени амортизации :
4. По объему оказываемых услуг (объему обслуживания) : - чистый (все расходы по обслуживанию имущества принимает на себя лизингополучатель. Большинство услуг на отечественном лизинговом рынке оборудования являются чистыми. - полный (лизингодатель принимает на себя все расходы по обслуживанию имущества. Его используют, как правило, сами изготовители оборудования. По стоимости полный лизинг один из самых дорогих) . - частичный, (с частичным набором услуг) , когда на лизингодателя возлагаются лишь отдельные функции по обслуживанию имущества. 5. От сектора рынка:
Внешний лизинг, в свою очередь, подразделяется на импортный , когда зарубежной стороной является лизингодатель, и экспортный , когда зарубежной стороной является лизингополучатель. 6. По характеру лизинговых платежей:
7. По отношению к налоговым и амортизационным льготам различают:
8. По составу участников сделки: - прямой, при котором собственник имущества (поставщик) самостоятельно сдает объект в лизинг (двухсторонняя сделка) . По сути, эту сделку нельзя назвать классической лизинговой сделкой, так как в ней не участвует лизинговая компания. - косвенный, когда передача имущества в лизинг происходит через посредника. Такого рода сделка схожа с классической лизинговой операцией, так как в ней участвуют поставщик, лизингодатель и лизингополучатель, причем каждый из них выступает самостоятельно. Наиболее характерные виды лизинга:
Финансовый (капитальный) лизинг долгосрочное соглашение, предусматривающее полную амортизацию арендуемого оборудования за счет платы, вносимой арендатором. Поскольку подобные соглашения не допускают возможности досрочного прекращения аренды, правильное определение величины периодической платы обеспечивает владельцу полное возмещение понесенных затрат на приобретение и содержание оборудования, а также требуемую норму доходности. При этой форме лизинга все расходы по установке и текущему обслуживанию имущества возлагается, как правило, на арендатора. Часто подобные соглашения предусматривают право арендатора на выкуп имущества по истечении срока контракта по льготной или остаточной стоимости (такая стоимость может быть чисто символической, например 1 доллар) . В отличие от оперативного финансовый лизинг существенно снижает риск владельца имущества. К объектам финансового лизинга относятся недвижимость (земля, здания и сооружения) , а также долгосрочные средства производства. Финансовый лизинг служит базой для образования двух других форм долгосрочной аренды – возвратной и долевой (с участием третьей стороны) .
Представляет собой соглашения о текущей аренде, при которых расходы лизингодателя, связанные с приобретением и содержанием сдаваемых в аренду предметов, не покрываются арендными платежами в течение одного лизингового контракта, что вызывает необходимость сдавать его в аренду несколько раз. Заключается он, как правило, на 2 - 5 лет. При оперативном лизинге риск порчи или утери объекта лежит в основном на лизингодателе. Ставка лизинговых платежей обычно выше, чем при финансовом лизинге, из-за отсутствия гарантии окупаемости затрат. К основным объектам оперативного лизинга относятся быстро устаревающие виды оборудования (компьютеры, копировальная и множительная техника, различные виды оргтехники и т.д.) и технически сложные, требующие постоянного сервисного обслуживания (грузовые и легковые автомобили, воздушные авиалайнеры, железнодорожный и морской транспорт) . Нетрудно заметить, что в целом условия оперативного лизинга более выгодны для арендатора. В частности, возможность досрочного прекращения аренды позволяет своевременно избавится от морально устаревшего оборудования и заменить более высокотехнологичным и конкурентоспособным. Кроме того, при возникновении неблагоприятных обстоятельств арендатор может быстро прекратить данный вид деятельности, досрочно возвратив соответствующее оборудование владельцу, и существенно сократить затраты, связанные с ликвидацией или реорганизацией производства. В случае реализации разовых проектов или заказов оперативный лизинг освобождает от необходимости приобретения и последующего содержания оборудования, которое в дальнейшем не понадобится.
Возвратный лизинг представляет собой систему из двух соглашений, при которой владелец продает оборудование в собственность другой стороне с одновременным заключением договора о его долгосрочной аренде у покупателя. В качестве покупателя - любой финансовый институт (банк, страховая компания, инвестиционный фонд, фирма, специально ориентированная на лизинговые операции) с одновременным оформлением соглашения о долгосрочной аренде своей бывшей собственности на условиях лизинга. В результате проведения такой операции меняется лишь собственник оборудования, а его пользователь остается прежним, получив в свое распоряжение дополнительные средства финансирования. Инвестор же, по сути, кредитует бывшего владельца, получая в качестве обеспечения права собственности на его имущество. Подобные операции часто проводятся в условиях делового спада в целях стабилизации финансового положения предприятий.
Раздельный лизинг (лизинг с участием множества сторон) . Этот вид лизинга распространен как форма финансирования сложных, крупномасштабных объектов, (авиатехника, морские и речные суда, железнодорожный и подвижной состав, буровые платформы и т.п.) . Такой лизинг называется еще групповым, или акционерным, лизингом с участием нескольких компаний поставщиков, лизингодателей и привлечением кредитных средств у ряда банков, а также страхованием лизингового имущества и возврата лизинговых платежей с помощью страховых пулов. Этот вид лизинга считается наиболее сложным, так как ему присуще многоканальное финансирование. Специфической особенностью данного вида лизинга является то, что лизингодатели обеспечивают лишь часть суммы, которая необходима для покупки объекта лизинга. Эти средства привлекаются и аккумулируются путем выпуска акций и распространения их среди лизингодателей, принимающих участие в финансировании сделки. Оставшаяся часть контрактной стоимости объекта лизинга финансируется кредиторами (банками, другими инвесторами) .
Вид отношений возникший в связи с переуступкой прав пользования предметом лизинга третьему лицу, (как правило тоже лизинговой компании) что оформляется договором сублизинга. Основной арендодатель получает преимущественное право на получение арендных платежей. При сублизинге лицо, осуществляющее сублизинг, принимает предмет лизинга у лизингодателя по договору лизинга и передает его во временное пользование лизингополучателю по договору сублизинга.
Другими словами, лизинг с последовательной заменой оборудования. Используется, когда лизингополучателю по технологии последовательно требуется различное оборудование. В этих случаях в соответствии с условиями лизингового договора лизингополучатель приобретает право по истечении определенного срока обменять арендуемое имущество на другой объект лизинга. Что выбрать? Плюсы и минусы лизинга. У лизинга есть весомая альтернатива – покупка оборудования с помощью ссуды. Стоимость лизинга может быть ниже (или равна) стоимости ссуды только при наличии налоговых льгот. Большая часть лизингового бизнеса построена на налоговой основе. Что бы сравнить затраты на тот или иной способ кредитования (лизинг или ссуда) , существует понятие – финансовая эквивалентность платежей. Ведь платежи даже равных размеров, но различные по времени выплат, совсем не однозначны. Эквивалентными – мы считаем такие платежи, которые будучи приведенными к одному и тому же моменту времени, равны. Процесс приведения называется – дисконтированием. А полученная сумма – чистой текущей стоимостью. В мировой практике при определении чистой текущей стоимости платежей используется следующая формула дисконтирования: ТС = БС х Кt, где ТС - текущая стоимость; БС - будущая стоимость; Кt - коэффициент дисконтирования.
Е - норматив приведения во времени (процент дисконтирования) ; t - номер года расчетного периода. Чтобы сравнить два варианта финансирования, нужно в каждом случае подсчитать чистую текущую стоимость. Необходимо учесть: - налоговые льготы в каждом случае; - если объект не является собственностью, то нельзя использовать амортизационные льготы; - если объект покупается, то фирма должна оплатить расходы по техобслуживанию (во многих странах эти расходы вычитаются из налогооблагаемой прибыли) , а если объект арендуется, то это зависит от конкретного соглашения; - так как объект не принадлежит арендатору, то он теряет право на остаточную стоимость. [3] Расчеты, а, следовательно, и принятое решение во многом зависят от того, какой процент дисконтирования выберет финансовый директор. Плюсы лизинга. Вот некоторые из положительных сторон лизинга: - контракт по лизингу получить гораздо проще, чем ссуду. Особенно предприятиям мелкого и среднего бизнеса. Обеспечением сделки служит само имущество. В случае невыполнения арендатором обязательств – арендодатель может забрать свое имущество. - лизинг предполагает 100% кредитование и не требует немедленного начала платежей. Арендные платежи начинаются после поставки оборудования лизингополучателю. - лизинговое соглашение более гибкое, чем ссуда. Ссуда всегда предлагает ограниченные сроки и размеры погашения. При лизинге арендатор может рассчитывать поступление своих доходов и выработать с арендодателем соответствующую, удобную для него схему финансирования. Платежи могут быть ежемесячными, ежеквартальными и т.д., суммы платежей могут отличаться друг от друга. Иногда погашение может осуществляться после получения выручки от реализации товаров, произведенных на оборудовании, взятом в лизинг. Ставка может быть фиксированной и плавающей. - появляется возможность постоянного обновления оборудования. Весь риск морального старения оборудования лежит на арендодателе. - международный валютный фонд не учитывает сумму лизинговых сделок в подсчете национальной задолженности, т.е. существует возможность превысить лимиты кредитной задолженности, устанавливаемые Фондом по отдельным странам. - государственная политика, как правило, направлена на поощрение и расширение лизинговых операций. Минусы лизинга. Отрицательные стороны лизинга: - в случае, если лизинговый договор еще не закончился, а оборудование уже устарело, арендатор все равно платит арендную плату за это устаревшее оборудование. - то же самое, при поломке оборудования (финансовый лизинг) . - при оперативном лизинге риск устаревшего оборудования ложится на арендодателя, а чтобы не быть в убытке, он повышает арендные платежи. - если объектом лизингового договора является крупный и уникальный объект, то в связи с большим разнообразием условий арендных сделок подготовка договоров об их лизинге требует значительного времени и средств.
Заключение. Преимущество лизинга по сравнению с другими способами инвестирования, заключается в том, что предприниматель может начать свое дело, располагая лишь частью необходимых для покупки помещений и оборудования средств. К тому же, предприятиям предоставляется не денежные средства, контроль за которыми не всегда возможен, а непосредственно средства производства. В наше стране, где понятие, да и само слово лизинг, было просто многим не известно, сегодня образование и расширение лизингового бизнеса очень перспективно. Правительство Российской Федерации делает определенные шаги на встречу предпринимателям, для развития в России инвестиционной базы, и лизингового бизнеса частности. Так, 21 июля 1997 г. Правительство РФ приняло постановление №915 “О мероприятиях по развитию лизинга в РФ” . А так же 3 сентября 1998 г. №1020 “Об утверждении порядка предоставления государственных гарантий на осуществление лизинговых операций” . Целью Федеральной программы развития лизинга в РФ на 1996-2000 гг. является создание благоприятных правовых, экономических, организационных и методических условий для развития лизинга, включая создание нормативно- правовой базы, совершенствование налогообложения, внедрение типовых методических документов по лизинговым операциям, введение лицензирования лизинговых компаний, организацию Фонда содействия развитию лизинга в РФ и т.п. Список использованной литературы:
Поделитесь этой записью или добавьте в закладки |
Полезные публикации |
Главная