Технико-экономическое и оперативное планирование на горном предприятии \ГОАО "ш/у Октябрьское"\
СОДЕРЖАНИЕ РЕФЕРАТ ВВЕДЕНИЕ 1. Краткая характеристика материально-технических и социально-экономических условий производства 2. Анализ динамики численности персонала и трудоемкости процессов по добычи угля за 1993-1997 гг. 3. Обоснование плана добычи угля на 1998 год 4. Разработка мероприятий по снижению трудоемкости процессов добычи угля 5. Планирование численности ППП и показателей производительности труда ВЫВОДЫ ПЕРЕЧЕНЬ ССЫЛОК
РЕФЕРАТ Курсовая работа: 30страниц, 5 источников, 11 таблиц, 4 рисунка. Объектом курсовой работы является ГОАО “шахтоуправление Октябрьское” . Цель работы: в условиях шахты необходимо спланировать численность промышленно-производственного персонала и показатели производительности труда на основе мероприятий по снижению трудоемкости работ. В курсовой работе рассмотрены следующие вопросы: краткая характеристика материально-технических и социально-экономических вопросов производства; анализ динамики численности персонала и трудоемкости процессов добычи угля и планирование численности промышленно-производственного персонала и показателей производительности труда. В результате анализа динамики численности и трудоемкости работ наиболее трудоемкими процессами являются очистные работы, подготовительные работы, работы на подземном транспорте и работы на поверхности (за счет чрезмерно увеличенного штата сотрудников на поверхности) . Спланирован план добычи угля на 1998 год, который составил 11941,521 тонн/сутки и после внедрения мероприятий по снижению трудоемкости план на 1998 год составит 2175,993 тонн/сутки. Спланирована численность промышленно-производственного персонала по добычи угля, которая составила бы при равных прочих условиях 3372 человека (рост на 3,09% по отношению к базовому году) . Выработка на одного работника промышленно-производственного персонала по добыче угля, в результате внедрения мероприятий по снижению трудоемкости производства, повысится на 356,97 грн./месяц (7,14 тонн/месяц) , что на 58,35% выше, чем в базовом предыдущем году.
ВВЕДЕНИЕ В условиях рынка возрастает роль и значение экономического и социально-экономического планирования на шахте, задачей которого является тщательное и объективное обоснование программы действий коллектива на ближайшую и отдаленную перспективу. Наряду с оценкой производственных возможностей шахты по добыче угля на планируемый период, формированием плана добычи на основании договоров с потребителями, определении необходимой численности персонала, затрат на добычу угля, цены на уголь и другими задачами планирования производственной, хозяйственной и финансовой деятельности шахты важное значение приобретают планирование прибыли и ее распределение. Главная задача курсового проекта состоит в том, чтобы на основе изучения и анализа условий производства вывить внутрипроизводственные резервы повышения его эффективности, разработать и экономически обосновать мероприятия по реализации этих резервов и тем самым обеспечить улучшение технико-экономических показателей работы предприятия.
1. Краткая характеристика материально-технических и социально-экономических условий производства Шахтоуправление “Октябрьское” состоит из двух шахт: шахты “Октябрьской” и шахты “Октябрьский рудник” , расположенных на общей промплощадке, но разрабатывающих различные свиты пластов. Поле шахты “Октябрьский рудник” входит в состав Донецко-Макеевского геолого-промышленного района Донбасса. По административно территориальному делению, описываемая площадь входит в состав города Донецка и Ясиноватского района Донецкой области. (Недра находятся в ведении Донецкого производственного объединения по добыче угля “Донецкуголь” ) С 1997 года на основании положения кабинета министров о реструктуризации угольной промышленности Украины недра находятся в ведении созданной Государственной Холдинговой Компании (ГХК) “Донуголь” . Подъездные пути шахты примыкают к железнодорожной магистрали Жданов-Донецк-Ясиноватая. Станция Донецк, расположенная на этой магистрали, находится у Юго-Восточной границы шахты. В южной части шахтного поля проходит асфальтированная дорога Донецк - Красноармейск. Электроснабжение шахты осуществляется от высоковольтных линий системы “Донбассэнерго” . Водоснабжение осуществляется от Донецкой городской водопроводной сети. Территория шахты расположена на водоразделе рек “Кальмиус” на востоке и “Волчьей” на западе, протекающих на расстоянии от участка шахты, соответственно: 3,0 - 3,5 и 8,0 - 9,0 км. Основной потребитель полезного ископаемого, добываемого, шахтоуправлением является Авдеевский коксохимический завод. Шахтоуправление, разрабатывая различные виды пластов, получает полезное ископаемое соответствующих марок. Марки угля шахтоуправления представлены в следующей таблице: Таблица 1.1 – Марки угля ш/у “Октябрьское”
Вопрос о реальной возможности освоение шахтой проектной мощности 1800 тыс. т. угля в год по прежнему остаётся открытым, последние проектные решения института “Донгипрошахт” определили производственную мощность шахты после ввода в эксплуатацию пластов l8ў и К8 в объёме 1500 тыс. т. Ориентируясь на эту производственную мощность и величину оставшихся промышленных запасов 104 158 тыс. т., с учётом развития вновь вводимых пластов и затухания шахты в целом, оставшейся срок службы шахты составляет 62 года. С учётом проектного режима числа рабочих дней в году 300 суточная добыча составляет 500 тонн . Таблица 1.2 – Показатели геологии пластов ш/у “Октябрьское”
Шахтное поле вскрыто пятью вертикальными стволами: главным (скиповым) , вспомогательным (клетевым) , восточным воздухопадающим № 1, западным воздухопадающим, вентиляционным №1. Основной откаточный горизонт заложен на глубине 995 м (изогипса -772 м) и соединяется со всеми вертикальными стволами за исключением вентиляционного № 1. Вентиляционный горизонт заложен на глубине 741 м (изогипса - 525 м) и соединяется с вентиляционным стволом №1 квершлагами и с центральными (скиповым, клетевым) вентиляционной сбойкой. Подготовка шахтного поля панельная. В настоящее время шахтой отрабатывается два пласта М 3 и L 1 8 и ведется подготовка пластов L 1І и К 8 . По пласту М 3 очистные работы ведутся в западной бремсберговой панели, восточной уклонной панели и центральной уклонной панели. По пласту L 8 1 работы ведутся в восточной и западной бремсберговых панелях. Подготовка бремсберговых полей пласта М 3 производилась полевыми наклонными выработками, проводимыми в почве пласта и охраняемыми целиками угля. Подготовка восточной уклонной панели производится наклонными выработками проходимыми частично в почве пласта предварительно разгруженной лавой, частично по выработанному пространству разгрузочной лавы. Подготовка центральной уклонной панели пласта М 3 произведена наклонными выработками, пройденными по пласту и охраняемыми целиками угля. Опыт эксплуатации основных выработок показал, что охрана выработок целиками угля малоэффективна, как при полевом, так и при пластовом их проведении. Лучших результатов удалось добиться лишь при охране выработок путем их предварительной надработки, однако следует ожидать, что с течением времени благоприятный эффект надработки будет исчерпан и выработки испытают всю силу горного давления, что приведет к резкому ухудшению их состояния. На шахте “Октябрьский рудник” прошли апробацию различные системы разработки: столбовая система разработки с отработкой спаренных лав, разделенных между собой целиками угля шириной 30 м; то же с отработкой спаренных лав без составления межлавных целиков (с тремя ярусными штреками) ; то же с одиночными лавами, отрабатываемыми по простиранию; то же одиночными лавами, отрабатываемыми по восстанию (падению) ;сплошная система разработки лава-штрек и лава-ярус; комбинированная система разработки с повторным использованием ярусного штрека (бортового ходка) предыдущей лавы и проведением второго штрека (ходка) вслед за лавой. В настоящее время все действующие очистные забои работают по системе, при которой отработка лав по столбовой системе разработки и бесцеликовой технологии, когда вентиляционный штрек подготавливаемой лавы проходится в присечку к погашенному конвейерному штреку вышележащей лавы. Все действующие очистные забои оборудованы механизированными комплексами, как старого, так и нового типа. Способ управления кровли - полным обрушением. На концевых участках лав применяется технология “косых” заездов, что исключает необходимость использования ниш. Проведение подготовительных выработок осуществляется узким ходом. Сечения проводимых выработок определены фактором проветривания и габаритами транспортных средств и изменяются в пределах 7,7-16,4 кв. м в свету. Проведение ярусных штреков и пластовых наклонных осуществляется комбайнами типа ГПКС и 4ПП-2. Скорость проведения штреков составляет 100-150 м / мес. Проведение полевых выработок осуществляется при помощи буровзрывных работ с погрузкой породопогрузочными машинами. Количество одновременно проводимых подготовительных выработок для обеспечения необходимого фронта очистных работ составляет в настоящее время 18 забоев. Общее прохождение выработок за год составляет 8624 м, что не обеспечивает подготовку необходимого для увеличения добычи количества лав. На выбор системы разработки существенное влияние оказало появление в настоящее время новых нормативных документов, к примеру, таких как “Руководство по проектированию вентиляции угольных шахт” Москва 1989 год. Исходя из вышеизложенного, для реальных условий принята столбовая система разработки с прямоточной схемой проветривания типа 3-В-Н-н-пт. Отработка лав предусматривается, как правило, по простиранию от границ панели к наклонным выработкам. При этом вентиляционные штреки погашаются вслед за лавой, а конвейерные поддерживаются, что обеспечивает прямоточное проветривание и последующее использование штреков в качестве вентиляционных для нижележащих пластов. На отдельных участках шахтного поля принята отработка лав по восстанию (падению) . При этом проветривание лав также производится по прямоточной схеме с подсвежением исходящей. Размеры выемочных участков обусловлены ранее принятыми размерами панелей, как по простиранию, так и по падению, и составляют: длина столбов: 1000ё 2000 м (обеспечивает работу выемочных комплексов без перемонтажа их в межремонтные сроки) ; длина лавы - 170ё 200 м (обеспечивает кратное число лав в панели) . Механизация очистных работ принята в соответствии с применяемой на шахте, как наиболее соответствующая условиям разработки пластов:
при мощности пласта 0,75 - 1,0 м - механизированные комплексы типа КМ-103 с комбайнами К-103 или типа КД-80 с комбайном КА-80 Предусматривается безнишевая технология выемки угля в очистных забоях (бровка) , для этого в лавах с комбайнами 1К-101 и 2К-52 приняты технология зарубки в пласт “косым” заездом. С целью сохранения “бровок” лав предусматривается устройство берм шириной 1,5-2,0 м, крепление которых будет производиться индивидуальной крепью. Управление кровлей в лавах принимается способ полного обрушения. Для поддержания конвейерного штрека позади лавы необходимо применять комплекс технологических мер, включающий в себя: усиление крепи штрека впереди лавы на расстоянии не меньшем величины зоны опорного давления, выкладке бутовой полосы над штреком по мере подвигания лавы, ремонтно-восстановительные работы позади лавы. Ширина бутовой полосы принимается равной 12 м. Для выкладки полосы следует применять дробильно-закладочные комплексы “Титан” . Для закладки используется порода от подрывки и перекрепления штреков позади лавы, а в случае недостаточного объема - порода из прорывного штрека. Учитывая необходимость надежной изоляции выработанных пространств, предусматривается устройство ниже бутовой полосы фосфогипсовой полосы шириной 1,0 м, либо чураковой стенки, выкладываемой из повторно используемых лесоматериалов на глиняном растворе с последующем торкретированием. Герметизация выработанного пространства со стороны выработки с исходящей струёй производится на всем её протяжении за исключением примыкающего к лаве участка длиной не более 40 м. На этом участке должны устраиваться специальные каналы шириной 1,5-2,0 м с интервалом 10 м. Одновременно в работе должно быть не менее двух каналов. Проведение подготовительных выработок осуществляется узким ходом. Сечения проводимых выработок определены фактором проветривания и габаритами транспортных средств и изменяются в пределах 7,7-16,4 кв. м в свету. Проведение ярусных штреков и пластовых наклонных осуществляется комбайнами типа ГПКС и 4ПП-2. Скорость проведения штреков составляет 100-150 м / мес. Проведение полевых выработок осуществляется при помощи буровзрывных работ с погрузкой породопогрузочными машинами. Количество одновременно проводимых подготовительных выработок для обеспечения необходимого фронта очистных работ составляет в настоящее время 18 забоев. Общее прохождение выработок за год составляет 8624 м, что не обеспечивает подготовку необходимого для увеличения добычи количества лав. Основными видами транспорта по шахте являются: конвейерный транспорт; электровозная откатка; канатная откатка. Уголь (горная масса) из очистных (подготовительных) забоев поступает при помощи ленточных конвейеров 1ЛТ80 и 1Л80 по участковым конвейерным штрекам (бортовым ходкам) через бункеры (вместимостью 30-40 т) поступает на магистральные конвейера, которыми являются: на западном конвейерном бремсберге пласта М 3 -ленточный конвейер 1Л100К; на центральном конвейерном уклоне пласта М 3 -грузолюдской ленточный конвейер 3Л100У; на западном конвейерном бремсберге пласта L 8 - “прим” - ленточный конвейер 2Л100У; на восточном конвейерном бремсберге того же пласта - ленточный конвейер 2Л100У. Уголь транспортируется из западной бремсберговой и центральной уклонной панели пласта М 3 на основной горизонт 995 м в аккумуляторный бункер вместимостью 150 т, под которым оборудован погрузочный пункт. Уголь из горных работ восточной уклонной панели пласта М 3 транспортируется по временной схеме на горизонт 995 м, где производится непосредственная его отгрузка в секционные поезда. По горизонту 995 м к разгрузочной яме скипового ствола уголь доставляется секционными поездами ПС3,5, аккумуляторными электровозами 2 АМ8Д. Количество секций в поезде 29 шт. На пласте L 8 - “прим” произведена полная конвейеризация угля от забоя до скипового ствола. С этой целью пройдены и оборудованы магистральными ленточными конвейерами типов ЗЛ100У, “Гравек-100” , 1Л120,1Л100К, восточный и западный конвейерные штреки, центральный конвейерный уклон этого же пласта и конвейерный ходок на скиповой ствол. С конвейерного ходка уголь через аккумулирующий бункер вместимостью 300 т попадает в камеру угольной разгрузки скипового ствола, где, благодаря применению короткого перегружателя, имеется возможность либо перепустить уголь непосредственно в бункер загрузочного устройства, либо погрузить (при большом содержании породы) в секционные поезда или вагонетки для транспортировки к породной яме. Порода от проведения участковых выработок при помощи ленточных конвейеров (реже скребковых) транспортируется к вентиляционным ходкам панелей, оборудованным ленточным конвейером и доставляет на погрузочные штреки горизонта 995 м. На горизонте 995 м от погрузочных пунктов порода доставляется электровозной откаткой к породной разгрузочной яме, где имеется возможность разгружать, как вагонетки (секции) с данной разгрузкой, так и вагонетки с глухим кузовом. По участковым выработкам вспомогательные операции принято выполнять при помощи напочвенных канатных дорог или гировозов ГР-5, ГР-6, ГР-4 на шахте имеется 10 Для обслуживания электровозов в околоствольном дворе горизонта 995 м оборудован гараж в районе примыкания вентиляционной сбойки к полевым вентиляционным штрекам и имеет 5 зарядных устройств типа ЗУК-155/230м. Электровозные гаражи для механизации обмена батарей оборудованы кранами типа КЭД-7. Мойка батарей осуществляется водой из противопожарного трубопровода, сушка струей сжатого воздуха. Панельные наклонные выработки оборудованы концевыми канатными откатками. В настоящее время на шахте работает 7 подъемных установок. Все конвейерные линии автоматизированы аппаратурой УК-10ТМ-68 и АУК-1М. Таблица 1.3 – Основные технико-экономические показатели работы ш/у “Октябрьское” за 1997 год
Таблица 1.4 –Фактическая добыча из подготовительных забоев
2. Анализ динамики численности персонала и трудоемкости процессов добычи угля за 1993-1997 гг. Для проведения анализа численности персонала и расчета трудоемкости процессов добычи угля по годам, воспользуемся формами статистической годовой отчетности шахтоуправления “Октябрьское” 1-ТЭК за предыдущие пять лет работы. Результаты обработки форм статистической отчетности сведем в таблицу исходных данных для расчета трудоемкости работ (таблица 2.1) .
Для расчета трудоемкости работ, как по процессам, так и за год в целом, воспользуемся следующим выражением (2.1) :
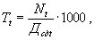
T t – среднесписочная численность работников в t –м году, чел., Д сдt - среднесуточная добыча угля в t –м году, тонн.
Результаты расчетов трудоемкости по плану и фактически представим в соответствующей таблице (таблица 2.3) . А так же с помощью диаграммы “Динамика трудоемкости работ по добыче угля за 1993-1997 г. г.” .
Анализируя динамику трудоемкости работ по добыче угля, необходимо установить следующее:
Выявив процессы с наибольшей трудоемкостью, а также процессы с наибольшими изменениями трудоемкости, возьмем их за основу при разработке плана мероприятий по снижению трудоемкости работ. Таблица 2.1 – Исходные данные для расчета трудоемкости работ
Таблица 2.2. Прочие технико-экономические показатели работы ш/у “Октябрьское”
2.1 Расчет плановой и фактической трудоемкости по процессам за период 1993-1997 гг.
Для расчета трудоемкости работ всего промышленно-производственного персонала воспользуемся выражением (2.1) :
T t – среднесписочная численность работников в t –м году, чел., Д сдt - среднесуточная добыча угля в t –м году, тонн. 1993 год T 93ППП (план) = (5200/2153) · 1000=2415,23 чел. на 1000 тонн T 93ППП (факт) = (4774/2333) · 1000=2046,29 чел. на 1000 тонн 1994 год T 94ППП (план) = (4594/2175) · 1000=2112,18 чел. на 1000 тонн T 94ППП (факт) = (4524/1801) · 1000=2511,94 чел. на 1000 тонн 1995 год T 95ППП (план) = (4207/1813) · 1000=2320,46 чел. на 1000 тонн T 95ППП (факт) = (4073/1618) · 1000=2517,30 чел. на 1000 тонн 1996 год T 96ППП (план) = (3950/1740) · 1000=2270,11 чел. на 1000 тонн T 96ППП (факт) = (3778/1382) · 1000=2733,72 чел. на 1000 тонн 1997 год T 97ППП (план) = (3950/1834) · 1000=2153,76 чел. на 1000 тонн T 97ППП (факт) = (3271/1333) · 1000=2453,86 чел. на 1000 тонн
Таблица 2.3 – Результаты расчета трудоемкости работ всего ППП ш/у “Октябрьское”
Рисунок 2.1 – Динамика трудоемкости работ ППП ш/у “Октябрьское” за период 1993-1997 г. г.
Расчет трудоемкости работ по отдельным производственным процессам по добыче угля шахтоуправлением производится на основе выражения (2.1) , исходя из численности работников, занятых на отдельных производственных работах и среднесуточной добычи шахтоуправления “Октябрьское” . Рассматриваются следующие процессы по добыче угля:
Таблица 2.4 – Расчет трудоемкости по отдельным производственным процессам за период 1993-1997 г. г.
Рисунок 2.2 – Динамика среднесписочной численности всего промышленно-производственного персонала по добыче ш/у “Октябрьское”
Рисунок 2.3 – Динамика среднесуточной добычи угля ш/у “Октябрьское”
За период 1993-1997 г. г. Как видно из приведенного рисунка 2.1 самая низкая трудоемкость наблюдалась в 1993 году, она была значительно ниже запланированного уровня данного показателя. В цифровом выражении: 2046,29 человек на 1000 тонн добычи – фактически, против 2415,23 человек на 1000 тонн добычи плана. Затем намечается тенденция резкого повышения уровня трудоемкости. Именно период с 1993 до 1995 года включительно определяется, в значительной степени, роста рекордно высоких показателей трудоемкости для ш/у “Октябрьское” . Это обусловлено в значительной степени ростом составляющих показателя с разной интенсивностью. Среднесуточная добыча в несколько раз быстрее изменяла свои численные значения, чем среднесписочная численность (смотри рисунки 2.2 и 2.3) . Причем, уже с 1994 года показатель фактической трудоемкости перекрывает плановый уровень данного показателя. Помимо чисто экономических причин происшедшего, необходимо акцентировать внимание на то, что именно в конце 1993 года активизировалось забастовочное движение в угольной промышленности Украины. Так же если взглянуть на рисунок 2.3, то можно заметить, что шахтоуправление впервые не выполнило плана по среднесуточной добыче. Наиболее высокое значение трудоемкости наблюдалось в 1996 году по причине не пропорционального падения добычи и численности ППП по добыче ш/у “Октябрьское” . Однако, с начала 1997 года наметилась тенденция ее снижения по причине уменьшения темпов суточной добычи, однако численность персонала при этом все еще убывает. Поэтому, можно позволить себе предположение, что это снижение трудоемкости является временным. Анализируя, трудоемкость по процессам по добыче угля, прихожу к тому, что наиболее трудоемкими процессами на ш/у “Октябрьское” являются очистные работы, подготовительные работы, содержание и ремонт и как это ни странно, работы на поверхности. Показатель трудоемкости на поверхности не отражает фактического положения вещей. Это объясняется тем, что штат сотрудников на поверхности чрезмерно “раздут” и необходимо проводить сокращение штатов на поверхности, в том числе и при данных прочих, отказываться от социальной сферы, которая висит “мертвым грузом” и не приносит ни какой прибыли производству. Сейчас на предприятии проводится программа по сокращению численности рабочих на поверхности, однако, вопрос о социальной сфере “повис в воздухе” . Обоснование плана добычи угля на 1998 год Поскольку показатели плановой и фактической трудоемкости работ по добыче угля в значительной степени зависят от объема среднесуточной добычи угля, что обусловлено наличием значительного удельного веса рабочих постоянного состава в общей их численности, в курсовом проекте необходимо обосновать возможный годовой (среднесуточный) план добычи. Обоснование проведем исходя из производственной возможности шахты на планируемый год по фактору “фронт горных работ” в предположении, что по другим факторам производственной мощности имеются значительные резервы. В качестве исходной информации для решения этой задачи будем использовать следующие плановые документы и программы развития горных работ на текущий год:
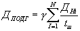
Возможная добыча с использованием вышеприведенной информации определяется по формуле (3.1) :
Где: i=1,2,3... n – перечень очистных забоев; Днi – нормативная нагрузка на i-ю лаву, т./сут. ; ti – количество дней работы, соответствующей лавы; tш – количество дней работы шахты по добыче угля в текущем году; Дподг- среднесуточная добыча угля из подготовительных забоев, т. Среднесуточная добыча угля из подготовительных забоев может быть определена путем прямого расчета или на основании анализа отчетных данных за последние пять лет. Во втором случае следует определить по фактическим данным за предыдущие пять лет средний коэффициент добычи угля из подготовительных забоев по отношению к добыче из очистных забоев рассчитать добычу из подготовительных забоев по курсовому проекту.
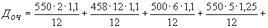
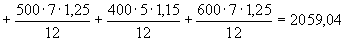
Определим добычу из подготовительных забоев по второму методу. Добыча определяется по формуле (3.2) :
Где g - коэффициент добычи угля из подготовительных забоев.
Таблица 3.1 – Расчет коэффициента добычи угля из подготовительных забоев.
Рассчитаем добычу из очистных забоев:
Рассчитаем средний коэффициент извлечения угля из подготовительных забоев:
Рассчитаем добычу из подготовительных забоев:
Плановая добыча по курсовому проекту составит:
Таким образом, план добычи на 1998 год составит 1941,521 т./сут. Этот план добычи угля будет принят для выполнения последующих задач курсового проекта по технико-экономическому планированию.
4. Разработка мероприятий по снижению трудоемкости процессов добычи угля Все мероприятия по снижению трудоемкости процессов по добыче угля сведем в таблицу 4.1. В связи с полной укомплектованностью штата сотрудников участков подземного транспорта и модернизации конвейерных и рельсовых путей мероприятия по изменению численности и модернизации оборудования в данном контексте не имеют смысла. На участках УШТ используются вагонетки грузоподъемностью 4 тонны, используется полная конвейерная откатка до ствола. На участках ВТБ используется ВЦД-4. Так же специально для ш/у “Октябрьское” была разработана крепь КМ-87 л. о., используемая с комбайном ГШ-68-У участком №16. Таблица 4.1 – План мероприятий по снижению трудоемкости работ по добыче угля
5. Планирование численности ППП и показателей производительности труда Численность ППП определяем пофакторным методом, исходя из принятого планового объема добычи угля и предполагаемых мероприятий по снижению трудоемкости работ по добыче. Пофакторный метод реализуем в разрезе структурных подразделений шахты и групп трудящихся, определяя не относительную, а абсолютную их численность.
Ш БI – списочная численность i –го структурного подразделения по плану шахты; D Ш I - увеличение численности трудящихся, вызываемое действием i –го фактора; D Ш J -сокращение численности трудящихся, вызываемое действием i –го фактора; i=1,2,3... N – перечень факторов, увеличивающих трудоемкость в планируемом периоде; J=1,2,3... N – перечень факторов и мероприятий, уменьшающих трудоемкость работ в планируемом периоде. Расчет численности представлен в таблице 5.1. Результаты планирования показателей численности промышленно-производственного персонала в сопоставлении с базисными показателями приводятся в таблице 5.2 Таблица 5.1- Расчет численности промышленно-производственного персонала по добыче с учетом факторов снижения трудоемкости работ
В результате внедрения мероприятий по снижению трудоемкости работ изменились нагрузки на очистные забои, что повлекло за собой изменение плана добычи на 1998 год. Произведем новый расчет, учитывая все изменения, используя выражения (3.1) и (3.2) : Рассчитаем добычу из очистных забоев:
Рассчитаем средний коэффициент извлечения угля из подготовительных забоев:
Рассчитаем добычу из подготовительных забоев:
Плановая добыча по курсовому проекту составит:
Таблица 5.2 – Численность промышленно-производственного персонала и показатели производительности труда.
Определим трудоемкость по курсовому проекту, используя выражение (2.1)
:
Трудоемкость по курсовому проекту составила 1549,63 чел./1000 тонн, что на 904,23 чел./ 1000 тонн меньше чем в базовом 1998 году. А в процентном отношении снизилась на 38,84 %.
ВЫВОДЫ
ПЕРЕЧЕНЬ ССЫЛОК
Поделитесь этой записью или добавьте в закладки |
Полезные публикации | |||||||||||||||||||||||||||||||||||||||||||||||||||||||||||||||||||||||||||||||||||||||||||||||||||||||||||||||||||||||||||||||||||||||||||||||||||||||||||||||||||||||||||||||||||||||||||||||||||||||||||||||||||||||||||||||||||||||||||||||||||||||||||||||||||||||||||||||||||||||||||||||||||||||||||||||||||||||||||||||||||||||||||||||||||||||||||||||||||||||||||||||||||||||||||||||||||||||||||||||||||||||||||||||||||||||||||||||||||||||||||||||||||||||||||||||||||||||||||||||||||||||||||||||||||||||||||||||||||||||||||||||||||||||||||||||||||||||||||||||||||||||||||||||||||||||||||||||||||||||||||||||||||||||||||||||||||||||||||||||||||||||||||||||||||||||||||||||||||||||||||||||||||||||||||||||||||||||||||||||||||||||||||||||||||||||||||||||||||||||||||||||||||||||||||||||||||||||||||||||||||||||||||||||||||||||||||||||||||||||||||||||||||||||||||||||||||||||||||||||||||||||||||||||||||||||||||
человек на 1000 тонн где
, т./сут.
, т./сут.
(5.1) ; где
Главная