Основы менеджмента
Содержание: Введение. Основные понятия Принятие решения в организации Организация взаимодействий муниципальными подразделениями и другими субъектами Построение организации Мотивация в менеджменте Понятие групповой динамики Производственная группа = Руководитель + Подчинённый Модель Команса Руководство: власть и личное влияние Понятие баланса власти 4 системы в стиле лидерства Лайнерда Решетка стилей лидерства Блейка и Мутона Ситуационная модель Фидлера Теория “жизненного цикла” . Поля Херси и Кена Бланмара Модель принятия решений Врума-Йеттона Конфликт. Управление конфликтом в организации Понятие стресса Обеспечение эффективной деятельности организации Управление производством. Основные понятия Цепь производственных потребностей потребителя Автоматизированные склады и ГПС Планировка в производстве Нормирование труда Планирование выпуска продукции Планирование материальных потерь по системе MRP Учётно-плановые графики Ганта Управление производительностью (комплексный подход) Сетевые графики Поиск резервов производительности труда Способы поиска резервов производительности труда Оптимальное управление трудовой нагрузкой Имитационное моделирование в менеджменте Интенсивное и экстенсивное развитие организации
Введение. Основные понятия. Организация – это открытая система взаимодействующих и управляемых частей (подразделений, людей и т.д.) , работающая с определённой целью, смыслом, миссией и имеющая в своём распоряжении ресурсы:
Управление – это процесс распределения и движения пяти видов ресурсов в организации с заранее заданной целью по заранее разработанному стратегическому плану с непрерывным контролем результатов работ. Адаптивное управление – это приспосабливающееся к новой обстановке (окружающей среде) управление с изменением планов и моделей в зависимости от складывающейся ситуации. Организации бывают формальными и неформальными . Формальные организации строятся в соответствии с заранее заданной структурой управления. В формальных организациях действуют заранее запланированные связи между подразделениями, людьми и т.д. неформальные организации образуются и действуют спонтанно, на основе личных контактов, симпатий и т.п. Существуют так называемые уровни управления – это уровни в дереве иерархии. Дерево иерархии: Высшее звено управления Среднее звено управления Низшее звено управления Соответственно руководители делятся на руководителей высшего, среднего и низшего звеньев управления. Внешние факторы (экономические, психологические, культурные) Цели, задачи Результаты Ресурсы Искусство менеджера заключается в том, чтобы при изменении внешних факторов получить заранее запланированный результат. Важно, чтобы цель была поставлена в цифровой, показательной форме. Предприниматель – это организатор чего-то нового (идеи, товара и т.п.) . Бизнесмен – это человек, имеющий своё дело. Бизнесмен может один вложить деньги в какое-либо мероприятие, ценные бумаги, инвестировать проект и т.д., не занимаясь рутинной работой в этом деле. Последнее замечание отличает его от менеджера. Менеджер – это человек, работающий в организации и занимающийся организацией работ с комплексом ресурсов. В теории менеджмента существуют следующие школы управления:
Существует несколько подходов в управлении:
система разбивается на подсистемы, организация на подразделения; Существует внутренняя среда организации, внешняя среда организации и международное окружение. Внутренняя среда определяется структурой самой организации, стоящими целями и задачами, технологиями производства, распределением полномочий и власти. Внешняя среда – это поставщики ресурсов, конкуренты, покупатели, государство и его структуры. К внешней среде относится культура морали и нравственности, религиозные особенности народа, профсоюзы, научно-технический прогресс, состояние экономики, политический фактор. Качество управления зависит в большой степени от связующих процессов или коммуникаций. Коммуникации могут быть:
Принятие решения в организации. Решение – это результат или действие, произведённое на основе анализа информации и ведущее к планируемым (прогнозируемым) результатам в работе организации. Необходимо учиться принимать решения в условиях неопределённости и риска. Существуют специальные методы принятия решений. Процесс принятия решений может быть формализован. Например, предположим, что имеются три альтернативы А 1 , А 2 , А 3 , имеются условия, которые могут произойти или не произойти в будущем: Р 1 , Р 2 . Пример: вероятность 0,6 вероятность 0,4 Р 1 Р 2 А 1 5 3 А 2 4 1 А 3 2 1 Балл обозначает эффективность. Показатель: Е 1 =5 * 0,6+3 * 0,4=4,2 Е 2 =4 * 0,6+1 * 0,4=2,8 => Е max =Е 1 => Первое решение оптимально. Е 3 =2 * 0,6+1 * 0,4=1,6 Если вероятность наступления условия определить сложно (или Р 1 =Р 2 =0,5) , то применяют критерии из теории игр:
α * max max a ij + (1-α) * max min a ij где α – коэффициент значимости; Применяя эти правила, уходят от наихудших результатов. Пример: х 1 3х 1х 4х 6х 2х 5х 7х х 2
Для принятия решений часто используются:
Выгоды от использования информации могут быть: В В В PЭ PЭ PЭ PЭ – расход энергии. Э ∆Р РР (PЭ) Чем площадка ∆Р уже, тем сложнее управлять такой системой. Планирование делится на стратегическое, оперативное и рабочее. Стратегия – это план для обеспечения миссии и достижения долгосрочных целей. Миссия определяется причиной её существования, связанной с потребностями общества. Стратегическое планирование обычно осуществляется на срок от 1 до 5 лет, оперативное – до 1 года. Стратегия планирования делится на:
Тактика – это целенаправленное и запланированное действие, направленное на достижение цели. При реализации стратегических и оперативных планов очень важно вести правильную политику. Политика – это искусство, возможно, один из способов влияния на ход или динамику целенаправленного процесса различными средствами и методами (переговоры, завоевание общественного мнения, и т.д.) . Процедура – последовательность действий в конкретной ситуации. Правило планирования – это соответствие вопроса и ответа. Бюджет организации – метод распределения ресурсов для достижения цели. Бюджет состоит из двух статей – расходной и доходной. Часто используется метод управления по целям, который заключается в прогнозировании будущих событий и разработке ряда мероприятий в целях совершения этих событий. Прогнозирование делится на краткосрочное и долгосрочное. Краткосрочное планирование: V продаж dx t Мы сглаживаем известный статистический ряд с моделированным рядом с коэффициентом сглаживания α. Ищем отклонения dx. Суммируем эти отклонения. Повторяем это для другого α. Находим теоретический ряд с оптимальным α, при котором суммарное абсолютное отклонение минимально. Делаем прогноз на следующий промежуток времени для оптимального варианта. Краткосрочное прогнозирование оправдывается в розничной торговле с большой номенклатурой скоропортящихся товаров. Долгосрочное прогнозирование: Долгосрочное прогнозирование заключается в определении тенденций статистического ряда. 5 V продаж 3 усреднённый тренд 4 1 2 t Основным недостатком является то, что при усреднении ряд укорачивается.
Организация взаимодействий муниципальными подразделениями и другими субъектами. Организация взаимодействий осуществляется с помощью полномочий, делегирования ответственности, власти, согласований, принципов единоначалия, аппарата. Делегирование – это передача полномочий и ответственности за выполнение задачи. Ответственность – это обязательность выполнения задачи, закреплённая документально и предусматривающая санкции за просчёты и ошибки. Полномочия – это ограниченные права использования пяти видов ресурсов в соответствии с документальными нормами. Власть – реальная способность действовать и влиять на ситуацию. Можно иметь власть, но не иметь полномочий. Единоначалие – один начальник на n подчинённых. Типы полномочий:
Основными являются линейные полномочия. Принцип соответствия: полномочия и власть должны соответствовать уровню ответственности за выполнение задач . Построение организации. Бюрократия – это чётко отлаженная форма разделения труда с иерархией власти и цепями команд в организации с зафиксированными нормами поведения и профессиональным подбором кадров. Департаментализация – процесс деления организации на части с определением задач, прав и обязанностей. Типы структур организаций:
Интеграция – это процесс достижения единства усилий всех подразделений; достижение цели одного подразделения зависит от достижения цели другого подразделения. Таким образом, наблюдается взаимозависимость результатов работ подразделений. Классификация структур управления: а) Линейная структура управления: б) Линейно-функциональная структура: в) Линейно-штабная структура: Причины организации штаба: 1) для организации выпуска новой продукции; 2) для реализации инновационных проектов; 3) для реализации стратегии повышения качества, и т.д. г) Матричная структура. Остальные структуры – комбинация предыдущих. На выбор структуры управления влияют: 1) стоящие задачи; 2) имеющиеся в наличии ресурсы; 3) окружающая среда (поставщики, конкуренты) , и т.д. Мотивация в менеджменте. Мотивация – процесс побуждения к труду. Теории мотивации:
Разновидности теории:
Мотивация = Ожидаемые * Ожидаемое * Ценность результаты вознаграждение вознаграждения “Модель Портера-Лоулера” : Модель представляет собой синтез теории ожидания и теории справедливости. Из схемы видно, что затраченные усилия влияют на результаты; по полученным результатам человек получает внешнее и внутреннее вознаграждение. Внешние и внутренние вознаграждения влияют на будущие затраченные усилия и получаемые результаты. На получаемые результаты также влияют: а) осознание своей роли в процессе труда; б) особенности, способности человека, его характер. Внешнее вознаграждение – оплата, ценность оплаты, уверенность в связи усилия с ценностью вознаграждения. Внутреннее вознаграждение – похвала, продвижение по службе и т.д. Потребности: 1) Первичные (физиологические) ; 2) Вторичные (психологические) . Потребности по Маслоу: Потребность в самовыражении Потребность в уважении Социальные потребности Потребность в безопасности и уверенности в будущем Физиологические потребности Переход с уровня на уровень снизу вверх. Человек может остановиться в развитии на каком-то одном уровне. Теория потребностей Макклелинда: Существует 3 группы потребностей: 1) Потребность во власти; 2) Потребность в успехе; 3) Потребность в причастии к какому-либо делу. Человек в процессе своего личностного роста переходит из одной группы в другую. Закон результата: Степень удовлетворения, полученная при достижении цели, влияет на поведение человека в сходных ситуациях в будущем. Гурцберг предложил свою двухфакторную модель:
Понятие групповой динамики Групповая динамика – это изменение поведенческих реакций индивидуумов в зависимости от состава группы, изменение поведения группы в зависимости от изменения поведения индивидуума (индивидуумов) . Группа характеризуется: а) числом членов; б) статусами; в) ролями членов группы. Группы делятся на формальные и неформальные. Группы можно разделить на группы руководителей и группы исполнителей (работников) .
Производственная группа = Руководитель + Подчинённый Хорд-Торнский эффект показал важность психологической совместимости членов группы, важность оптимального числа членов группы, важность социальных факторов. Всё это повлияло в эксперименте на производительность труда.
Модель Команса Групповые эмоции влияют на эффективность взаимодействия и как следствие на деятельность индивидуумов. Групповое мышление – это мышление отличное от индивидуального и присущее только конкретной группе с её конкретной численностью, статусом и ролями. Статус членов группы определяется их властными полномочиями. Зачастую требуется создание специальных комитетов. Комитеты могут быть целевыми и постоянными. Целевой комитет – это группа внутри организации, которая делегирует полномочия для выполнения какого-либо задания с определённой целью. Группа организуется временно для достижения определённой цели. Например: реорганизация организации, контроль за использованием средств и ресурсов, поиск резервов, повышение качества, инновационные процессы и т.д. Постоянный комитет – это группа внутри организации, которая делегирует полномочия для выполнения какой-либо постоянной функции. Например: контроль за снижением себестоимости, контроль за качеством продукции, длительные инновационные процессы, объём продаж и т.д.
Руководство: власть и личное влияние Понятие лидерства: Лидерство определяется способностью оказывать влияние на отдельные личности и группы и направлять их усилия на достижение целей организации. Влияние – это любое поведение человека, которое вносит изменения в поведение других людей. Понятие власти: Власть обуславливается возможностью человека влиять на поведение других. Власть можно осуществлять:
Понятие баланса власти Основной закон: Уровень влияния властного лица А на лицо В равно степени зависимости лица В от лица А. Стили лидерства могут быть автократичными, демократичными и либеральными. Возможны два подхода:
Автократичный стиль: ориентация в принятии решений не себя, единоличная власть и управление. Демократичный стиль: разделение власти, участие работников в управлении. Либеральный стиль: полная свобода группы, коллегиальность в управлении. Существует две теории – теория X и теория Y. Стиль руководства определяется взглядами и представлениями данного руководителя, а представления могут быть различными. Теория X основывается на представлениях автократичного руководителя: а) люди не любят трудиться; б) люди предпочитают, чтобы ими руководили (боятся брать ответственность на себя) ; в) больше всего люди хотят защищённости; г) чтобы заставить трудиться необходимо принуждение, контроль, наказание. Теория Y основывается на представлениях демократичного руководителя: а) труд – процесс естественный; б) если условия благоприятные, то люди будут стремиться к самостоятельности и ответственности; в) люди могут и будут использовать самоуправление и самоконтроль, если они приобщены к общей цели; г) приобщение к общей цели есть функция вознаграждения; д) интеллектуальный потенциал и способность к творчеству используется людьми частично, следовательно, необходимо раскрыть эти стороны в человеке. 4 системы в стиле лидерства Лайнерда Стиль 1 – эксплуататорско-авторитарный: слушаю только себя, принимаю решения только сам, основа мотивации к труду подчинённых – фиксированный заработок и премия по результатам работ. Стиль 2 – благосклонно-авторитарный: хвалю за хорошо выполненную работу, материально поощряю и наказываю не только в зависимости от формально выполненной работы, но и учитывая усердие, инициативу, прилежность, старательность, дисциплинированность рабочего. Стиль 3 – консультативно-демократический: консультируюсь с рабочими, учитываю их пожелания и советы. Стиль 4 – стиль, основанный на обосновании необходимости выполнения задания, инициативы и участия подчинённых: участие работников в управлении, организация работниками своего труда. Решетка стилей лидерства Блейка и Мутона Забота о человеке в 2 с 1 3 н 4 н с в Забота о производстве Руководитель может находиться в любой из зон. Нахождение в зоне определяет стиль руководства. Ситуационная модель Фидлера Фидлер выделил 3 системы, фактически влияющие на поведение руководителя:
Оказалось, что комбинации этих факторов определяют стили поведения руководителей, его требовательность, уровень критики подчинённого, жесткость в работе. Поведение руководителя меняется часто не осознанно в зависимости от изменения этих ситуационных факторов. Фидлер выявил зависимость изменения поведения руководителя в зависимости от ситуации. Поведение руководителя он измерил через показатель – наименее предпочтительный коллега. Уровень критики, требовательность к коллегам, представления о своих подчинённых оказались в прямой зависимости от этих трёх факторов. Графически он выразил это следующим образом: Наименее предпочтительный коллега В С Н 1 2 3 4 5 6 7 8 Взаимоотношения Хор. Хор. Хор. Хор. Плох. Плох. Плох. Плох. Структурировано ли задание Д Д Н Н Д Д Н Н Должностные полномочия Сильн. Слаб. Сильн. Слаб. Сильн. Слаб. Сильн. Слаб. Способы побуждения:
Теория “жизненного цикла” . Поля Херси и Кена Бланмара. Суть теории состоит в том, что наибольшая эффективность стиля лидерства (руководства) зависит от зрелости исполнителя. Под зрелостью нужно понимать: а) способность брать ответственность на себя; б) уметь разумно рисковать; в) опыт в работе; г) уровень интеллекта. Образование и опыт являются вторичными факторами зрелости. Поведение руководителя может быть ориентировано на человеческие отношения и на работу. В зависимости исполнителей можно выбрать по графику наиболее предпочтительный стиль. Ориентация на человека S 3 S 2
S 4 S 1
Зрелость работника Высокая Средняя Низкая Ориентация на задачу Низкая Средняя Высокая S 1 : при низкой зрелости работников руководителю целесообразно вести себя формально, давать чёткие, понятные указания и контролировать их выполнение, ориентируясь на задачу и не придавая особой роли работе с людьми. S 2 : по мере роста зрелости исполнителя руководитель должен постепенно переориентироваться с задачи на человека. Граница S 2 и S 3 : при средней зрелости необходима интенсивная работа с человеком. S 4 : при высокой зрелости работников целесообразно делегирование им ответственности и переориентация своего поведения с задачи и человека на развитие организации. Модель принятия решений Врума-Йеттона В модели Врума-Йеттона имеется 5 стилей руководства: 1) Вы сами решаете проблему или принимаете решения на основе имеющейся у Вас информации; 2) Информацию получаете от подчинённых, а потом сами решаете проблему; 3) Излагаете проблему некоторым подчинённым индивидуально, а затем, выслушав их идеи и предложения, принимаете самостоятельные решения; 4) Излагаете проблему другим подчинённым, а потом, после коллективного обсуждения, самостоятельно принимаете решения; 5) Излагаете проблему группе подчинённых, а потом, после коллективного обсуждения принимаете коллегиальное решение без Вашего влияния. Чтобы выбрать один из стилей руководства необходимо ответить на следующие вопросы:
Конфликт. Управление конфликтом в организации. Конфликт – это ситуация, когда отсутствует согласие между двумя или более сторонами. Модель конфликта:
Функциональный конфликт ведёт к увеличению эффективности работы организации (часто возникает в рабочих спорах, полемике, на научных совещаниях и т.д.) . Дисфункциональный конфликт снижает эффективность группового сотрудничества и, как следствие, снижает эффективность работы организации. Дисфункциональный конфликт ведёт к враждебности между людьми, несправедливости в распределении ресурсов, вынуждает часто поступать против своей воли и разума, в пользу одной из сторон. Типы конфликтов: а) внутриличностный; б) межличностный; в) конфликт личность–группа; г) межгрупповой. Причины конфликта:
Структурные методы разрешения конфликтов:
Межличностные стили разрешения конфликтов:
Область компромисса Степень внимания к себе В С Н Степень внимания к другим Н С В Часто конфликты приводят к необходимости изменения организационной структуры. Организационное развитие – это долговременный процесс обновления организации, её структуры, коммуникационных связей в соответствии с новыми целями и задачами. Организационное развитие происходит посредством организационных изменений как правило каждые 1-5 лет. Умеренная реорганизация происходит раз в год, коренная – раз в 4-5 лет. Организационные изменения происходят через:
Управление организационными изменениями Лерри-Грейнера:
Условия успеха в осуществлении перемен в организации:
Причины сопротивления переменам:
Методы преодоления сопротивления:
Понятие стресса. Стресс – это изменённое от нормы состояние чувственно-эмоциональной сферы человека, при котором восприятие окружающей среды и его поведенческие реакции становятся неадекватными ситуации. Причины стресса: а) организационный фактор (недогрузка, перегрузка, конфликт ролей, неинтересная работа, плохие условия работы) ; б) личностный фактор (семейное положение и т.п.) ; в) неправильное соотношение между полномочиями и ответственностью. Конфликт ролей: Даваемая человеку работа требует от него другой роли, не подкрепляемая его полномочиями его власть. Взявшись за такую работу, часто происходит “надрыв” исполнителя и как следствие “срыв” . Неопределённость ролей: Даваемая человеку работа чётко не определена, не ясны ресурсы для её исполнения, не понятна конечная цель. В этом случае не понятна роль исполнителя, его полномочия и ответственность. В случае получения отрицательных результатов на этого человека возлагается весь груз ответственности за неудачно выполненную работу. Очень важно видеть ситуацию с конфликтами и неопределённостью ролей и вовремя акцентировать на этом внимание руководства, отказывать от таких условий работы. Для повышения производительности труда и снижения стресса необходимо:
Рекомендации руководителя по повышению производительности труда и снижению стресса:
Обеспечение эффективной деятельности организации. Эффективность деятельности организации зависит в основном от:
Процесс управления трудовыми ресурсами включает в себя:
В процессе планирования трудовых ресурсов проводятся:
Анализ трудовых навыков можно проводить:
В результате формируется на каждого работника классификационная характеристика. В ней указывается образование, возраст, опыт работы, навыки, знания, перспектива роста. На основании классификационной характеристики, знаний, навыков работника обозначаются его права, обязанности, составляются должностные инструменты или подписывается контракт. Методы сбора информации о работнике:
Центры оценки – это такие центры, в которых оцениваются способности кандидатов с помощью деловых игр, тестов, вопросников, экспериментов. По результатам оценки назначается зарплата (подписывается контракт) , определяются дополнительные льготы, возможность взятия дополнительных ссуд, льготы на обучение, юридические услуги, возможность физического оздоровления, творческие отпуска и т.д., часто назначаются льготы по принципу “самообслуживания в кафетерии” , т.е. работнику самому в определённых пределах разрешается выбирать для себя набор льгот. Оценка результатов деятельности осуществляется в трёх целях:
Качество трудовой жизни влияет на производительность труда, межличностные отношения, конкурентоспособность организации. Качество трудовой жизни можно выразить следующими формулами:
Совершенствовать организацию труда можно:
Управление производством. Основные понятия. Операционная функция – это планомерные мероприятия организации по переработке поступающих ресурсов с целью производства товаров (услуг) . Операционная система – это система производства продукции, определённой номенклатуры, определённых объёмов. Операционная система обычно состоит из:
Эффективность производства – это показатель деятельности производства по распределению и переработке ресурсов с целью производства товаров. Эффективность можно измерить через коэффициент – отношение результатов на выходе к ресурсам на входе или через объёмы выпуска продукции, её номенклатуры. Проект – это документации на организацию будущего предприятия. В проекте:
Тип производства определяется в основном объёмом и номенклатурой выпускаемой продукции, способностью к перестраиваемости, непрерывности технологических процессов. Типы производств:
Цепь производственных потребностей потребителя. Новые потребности на рынке определяют производимый товар и как следствие операционную системы производства. Потребности на рынке должны определять тип производства и соответствующую операционную систему. Предприятие работает с “выраженной компетентностью” – это предприятие, умеющее быстро перестраивать свою операционную систему под новые потребности на рынке. Для этого необходимо достоверно спрогнозировать потенциальные потребности (провести маркетинговые исследования) , и в соответствии с этим спланировать перестройку всех технологических производств под новые объёмы выпуска и новую номенклатуру. Очень важно знать “конкурентное преимущество” предприятия – это преимущество, позволяющее привлекать и сохранять на рынке потенциальных потребителей. Данное преимущество обеспечивается за счёт:
Жизненный цикл товара (продукта) – это время, за которое объёмы продаж товара сначала растут, потом стабилизируются, а затем падают из-за снижения спроса на него. М 1 М 2 М 3 V пр V пр
t t М – модели товара Жизненный цикл процесса производства – это время роста, стабилизации и спада объёмов выпуска производимой продукции в соответствии с прогнозируемым жизненным циклом товара. Быстрая перестраиваемость производства на новую модель обеспечивается за счёт:
САПР обеспечивает быстроту проектирования новых моделей товаров, сокращает сроки подготовки производства и обновления товаров. АСУП обеспечивает оперативность управления, мониторинг процессов, оптимальность принятия решений (на основе методов линейного, нелинейного и динамического программирования) . Перед проектированием АСУП необходимо спроектировать модель самого предприятия. Понятие модели (плана) предприятия включает в себя:
После этого приступают к формированию матриц предметные базы данных/процессы и процессы/подразделения. Получают трёхмерную матрицу: процессы БД Далее на основании основных сетей строят единую корпоративную систему управления. Ошибка при разработке баз данных ведёт часто к непоправимым ошибкам в его автоматизированном управлении. Цели АСУП:
Автоматизированные склады и ГПС. Автоматизированный склад – это склад, в котором автоматически ведётся учёт приход/расход, на основе постоянного мониторинга запасов производятся новые запасы. Системы управления запасами:
СУЗ без резервом: поставки расход ресурсов V поставки V поставки 1 2 3 4 5 6 7 t 1 2 3 4 5 6 7 8 9 t Как правило, расход планируется, поставки изначально известны. З + Д Необходимо запланировать поставки и расход так, чтобы не было дефицита ресурсов. СУЗ с резервом: поставки расход ресурсов Резервы В случае возникновения дефицита из резервного запаса берётся часть ресурса, необходимая для покрытия этого дефицита. СУЗ с резервом оправдывает себя, когда сложно достоверно спрогнозировать будущий расход. СУЗ с автоматической подстройкой объёма поставки: В случае возникновения дефицита или приближения запаса к нулю объём поставки автоматически увеличивается. Кратность увеличения объёма поставки зависит от скорости снижения запасов. СУЗ с автоматической подстройкой периодичности: В случае возникновения дефицита или приближения запаса к нулю автоматически увеличивается частота поставки. Кратность увеличения частоты поставки зависит от скорости изменения запасов.
СУЗ с автоматической подстройкой объёма и периодичности: СУЗ с автоматической подстройкой часто применяются в автоматизированных системах управления производством. Японская система управления запасами “точно вовремя” : Ресурс поставляется точно в то время, когда он необходим для производственно-технологического процесса. Планировка в производстве Планировка в производстве бывает:
Социотехническая система – это человеко-машинная, гибридная система, работающая по адаптивным алгоритмам организации в зависимости от изменяющейся внешней и внутренней обстановки (среды) . Основным противоречием в такой системе является противоречие между необходимостью действий индивидуума, обусловленная техникой труда, и его желанием (противоречие между “надо” и “хочу” ) . Рекомендации по сглаживанию этого противоречия:
Нормирование труда. Нормирование труда – это процесс определения времени на операции технологического процесса, определение разрядности и квалификации исполнителя. Нормирование труда обеспечивает:
По возможности любой труд должен быть формализован и нормирован. Необходимо разработать планы снабжения будущего производственного процесса, т.к. объём производства зависит от спроса на товар. Виды спроса на продукцию:
Планирование выпуска продукции. План влияет на издержки. В плане указываются:
Существует 3 стратегии планирования численности:
Планирование материальных потерь по системе MRP. Т. к. зависимость спроса на предмет снабжения можно прогнозировать, зная будущий объём производства, то необходимо иметь в запасе только то, что сейчас необходимо (на данный период времени) .
Учётно-плановые графики Ганта. Учётно-плановые графики Ганта являются инструментом оперативного управления. t Станок 1 1ххх 2хх 3хххх Станок 2 4хх 5ххх 6ххх Станок 3 7хххх Оборудование На графике: Число – номер заказа; Пробел – простой оборудования; х – заказ в процессе обработки. Зная реальную загрузку оборудования по графику Ганта можно:
Графики Ганта позволяют минимизировать издержки производства, выявить и сократить время простоя оборудования, повысить производительность труда. Процесс производства должен соответствовать техническим условиям, иначе не добиться: а) искомого качества; б) искомой технологичности продукции.
Качество –
это совокупность свойств продукции, обуславливающих её способность удовлетворять определённые потребности в соответствии с её назначением. Качество может быть измерено с помощью специальных показателей. Например, с помощью времени безотказной работы оборудования (надёжности) , шероховатости поверхности, точности в пределах допуска, экспертного балла дизайна, комплексного критерия качества (аддитивного –
Технологичность – это характеристика продукции быть максимально приспособленной к условиям производства и эксплуатации оборудования на протяжении всего планируемого жизненного цикла. Технологичность – это составная часть качества изделия, определяемая уровнем организации труда и производства, культурой производства, технологией изготовления. Технологичность можно повысить за счёт:
Способы повышения качества продукции:
Управление производительностью (комплексный подход) . Производственная система: Положительные результаты работы Материальные ресурсы Финансовые ресурсы Капитал Труд Энергия Информация Отрицательные результаты работы Внешняя среда Положительные результаты работы: качественные производимые товары и услуги, занятость, социальные выгоды, возможность управления прибылью и затратами. Отрицательные результаты работы: некачественная продукция, финансовые потери, безработица, социальные последствия. Сложность управления производством обусловлена:
Управлять производительностью можно если:
Гарантировать надёжные рынки сбыта могут:
Ценность товара – это функция его эксплуатационных характеристик и цены. Качество – это воспринимаемая ценность товара. Первыми это осознали в Японии и построили процесс управления предприятия на основе качества продукции. Увеличивая ценность товара через повышение его качества, расширение его эксплуатационных характеристик и снижения цены из-за дешевой рабочей силы, японцы тем самым увеличивают спрос на этот товар, расширяют рынки сбыта, увеличивают общую выручку, расширяют объёмы производств. Быстрая модификация моделей продукции (раз в 2-3 мес.) и гибкость производства (за счёт САПР, ГАП, АСУП) способствует увеличению жизненного цикла товаров и стабилизации общего объёма продаж. Стабильный рост валового дохода дает возможность стратегически планировать дальнейшую деятельность. Например, японские менеджеры считают, что:
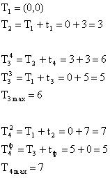
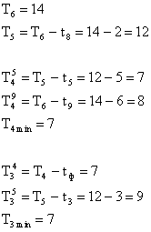
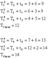
Сетевые графики Сетевые графики являются инструментом и предназначаются для составления календарных планов работы. Условные обозначения:
T i – время события. – работа (процесс) . t i – время работы. – фиктивная работа – применяется для упрощения сетевых графиков (всегда равно 0) . Пример сетевого графика: (3,4) t 6 =6 (12,12) t 1 =3 t 4 =3 t 7 =3 t 8 =2 t 3 =5 (0,0) t 5 =5 (6,7) t 2 =7 t ф =0 (14,14) t 9 =6 (7,7) Последовательность расчёта сетевого графика:
Алгоритм расчёта:
Из таблицы видно, что для событий 2 и 3 допустимо опоздание на одну единицу времени – это резерв времени. Для других событий это недопустимо. События, которые имеют резерв времени, равный нулю, находятся на критическом пути. Прим: На графике в скобках около события показаны значения минимального и максимального времени наступления события.
Резерв времени -
разность
Из таблицы видно, что для работ 2,5,8 резерв времени равен 0. Следовательно, эти работы лежат на критическом пути. Критический путь – это путь, на котором работы имеют нулевой резерв. Реально на практике продолжительность работ, фактическое их состояние могут изменяться. При этом может изменяться и ожидаемое время наступления события, окончания работ и критический путь. Зная критический путь, руководство может сосредоточиться на тех работах, которые являются решающими с точки зрения сроков окончания всех работ. Последовательность работы с сетевыми графиками:
На практике:
Поиск резервов производительности труда.
ОП – объём продаж. ИЦ – изменение цены. УИ – удельные издержки. Ц – цена. З – затраты. П ИЦ Р Р t t 1 П Из графиков видно, что в варианте А рост рентабельности достигнут за счёт производительности, а в варианте Б – за счёт изменения цены. Каждой компании важно знать, за счёт чего изменяется рентабельность работы. Способы поиска резервов производительности труда. Способ А: Через анализ потерь работы подразделений. Этап 1: Формулируются показатели эффективности труда. Этап 2: Ведётся ежеквартальный учёт этих временных показателей. Этап 3: Каждому показателю присваивается своя значимость с приведением всех потерь к 100%. Этап 4: Анализируется динамика потерь в прошлом и текущем кварталах, делаются соответствующие выводы и принимаются организационные решения. Способ Б: Через анализ временных рядов производительности. Этап 1: Выявляется динамика производительности работы во времени коллектива из n человек. Этап 2: Ищутся факторы, повлиявшие на изменение этой динамики. Этап 3: По результатам анализа кривой производительности для коллектива из n человек рассчитывается будущая производительность для мелких групп исполнителей. Этап 4: По рассчитанной производительности нормируется труд мелких групп исполнителей, планируется будущая работа. Этап 5: Производится строгий контроль за планом исполнения. Способ В: Через анализ временных рядов издержек. Этап 1: Выявляется динамика издержек по следующим показателям: сырьё и материалы, услуги, затраты на работников, прибыль до уплаты налогов, затраты капитала, выявляется их процентовка. Этап 2: Рассчитываются следующие отношения для каждого момента времени: Добавленная стоимость = Стоимость проданных товаров (услуг) – Стоимость приобретенных товаров (услуг) Этап 3: Строятся динамики этих отношений во времени. Этап 4: Ищутся резервы для повышения добавленной стоимости и снижения затрат. (Влияние на динамику этих отношений) . Повышать добавленную стоимость можно:
Способ Г: С помощью анализа показателей работы на одного работника. Этап 1: Выявление следующих динамических показателей на одного работника:
Этап 2: Выявленные динамики показателей для подразделения А, сравниваются с аналогичными для подразделения Б. Далее принимаются решения о сокращении или пополнении подразделений, ликвидации, добавления или изменения функций подразделений и кадрового состава, функций и материальной поддержки. Способ Д: С помощью мониторинга отдач на чистые активы.
Этап 1: Рассчитываются следующие отношения: 1.
Этап 3: Планируются новые инвестиции и вложения, прогнозируется изменение положения точки на графике (прогнозируются новые отдачи с капитальных активов и с вложений в трудовые ресурсы) . Этап 4: Фиксируются реальные отдачи и сравниваются с ранее запрогнозированными. Этап 5: Делаются соответствующие организационные выводы, принимаются организационные решения, планируются новые инвестиции и вложения, прогнозируются новые отдачи. Цель мониторинга – достичь максимальных отдач с капитальных активов и трудовых ресурсов. Это соответствует правой верхней зоне на графике. При этом отдача с чистых активов и трудовых ресурсов будет максимальна. ДС/СКА 3 2 Б 1 А ДС/ЗТР Как видно из рисунка в подразделениях 3 и 2 согласно прогнозу повысится ОНЧА благодаря инвестициям как в капитальные активы, таки трудовые ресурсы. Однако подразделение 3 предполагает вложить больше средств в трудовые ресурсы, чем подразделение 2. Для подразделения 1 показатель ОНЧА будет приблизительно на одном уровне, так как отдача с вложений в трудовые ресурсы падает, а отдача с вложений в капитал равнорастёт. На рисунке заштрихованный прямоугольник – максимальная отдача с трудовых ресурсов и с капитальных активов.
Оптимальное управление трудовой нагрузкой. Управление трудовой нагрузкой заключается в:
Рабочая нагрузка (количество работников) 170 150 130 t Из графика видно, что 150 работников могут выполнять работу 170-и и 130-и человек. В первом случае рабочая нагрузка увеличивается, во втором уменьшается. Когда возникает перезагрузка можно:
При недогрузке можно:
Японская стратегия развития фирмы в основном базируется на:
Ценность товара характеризуется отношением его характеристик к его цене. Качество товара становится критическим фактором успеха фирмы. У японцев кружки качества решают не только проблемы качества, но и другие проблемы.
Принцип работы кружков качества:
Обучение ведётся на 4-х уровнях:
Обучение перед вступлением в кружки качества основывается на следующих вопросах:
Имитационное моделирование в менеджменте. Имитационное моделирование в менеджменте применяют в бизнес планировании, управлении производством, анализа безубыточности и т.д. Примеры: 1. Имитационное моделирование при составлении бизнес планов. Этап 1: имитируются объёмы продаж во времени относительно тренда. V пр Тренд должен соответствовать или жизненному циклу товара или какой-либо стратегии развития объёмов продаж. t Этап 2: имитируется динамика цен во времени на какой-либо вид товара. Ц t Этап 3: имитируется динамика себестоимости во времени на единицу товара. С ед
t Зная все эти графики можно построить графики выручки, затрат, прибыли и рентабельности во времени. В более сложных случаях ищется корреляционная зависимость между ценой и объёмом продаж. По результатам анализа корреляционных прямых эластичности спроса имитируются во времени цены и объёмы продаж. Далее рассчитываются полные затраты, прибыль и рентабельность. Бизнес план должен быть объективным и не преукрашивать ситуацию 2. Имитационное моделирование в управлении производством. Имитационное моделирование в управлении производством применяется для планирования загрузки и ремонта оборудования. Частота выхода из строя Часы работы Зная будущие часы выхода из строя оборудования можно в среднем планировать закупку запасных частей, ремонт, профилактику, обслуживание и т.п.
Интенсивное и экстенсивное развитие организации. 3 Эффект I II 2 4 Ресурсообеспечение 1 5 I – показывает, что имеется недостаток ресурсного обеспечения (топливо, сырьё, материалы и т.д.) . II – показывает, что имеется избыток материалов (сырьё, оборудование, рабочая сила и т.д.) . Всё это ведёт к увеличению затрат на приобретение, содержание, хранение и, как следствие – к снижению эффекта. Наиболее благополучная ситуация когда предприятие попадает в точку 3 или около неё. В этом случае эффект максимален, а ресурсное обеспечение максимально по своему объёму. Любая организация может построить свою оптимизационную кривую по итогам прошлой работы. Оптимизационные кривые можно строить для какого-то одного момента времени, или для одного периода времени. Со временем рост потребностей приводит к увеличению объёмов производства и соответственно к росту дополнительных ресурсов. Соответственно должен быть выше и эффект. Э max B ∆Э max А t 2 t 1
Р ∆Р опт Соответствие параметров ∆Р опт и ∆Э max обуславливает направление экономического роста. Если ∆Э max >∆Р опт , то производственная система по интенсивному пути. Если ∆Э max <∆Р опт , то производственная система развивается по экстенсивному пути. Если ∆Э max =∆Р опт , то наблюдается пограничная ситуация. Оптимальное управление заключается в том, чтобы целенаправленно, планомерно перемещаться из точки А в точку В с условием, что ∆Э max >∆Р опт .
3 – интенсивное развитие организации – эффект растёт быстрее ресурсного обеспечения. 2 – пограничная ситуация. Области, находящиеся под каждой кривой определяют все возможные множества вариантов развития организации (над 2 – интенсивное развитие, под 2 – экстенсивное) . Переход из области экстенсивного развития в область интенсивного развития требует реализации комплекса экономико-организационных и научно-технических мероприятий. Управление усложняется если ∆Р мала (см. стр. 9) . Поделитесь этой записью или добавьте в закладки |
Полезные публикации | |||||||||||||||||||||||||||||||||||||||||||||||||||||||||||||||||||||||||||||||||||||||||||||||||||||||||||||||||||||||||||||||||||||||||||||
В – выручка. Р – рентабельность. ОР – объем ресурсов.
Главная