Ценообразование и использование ресурсов: рента, ссудный процент и прибыль
Содержание Введение
Заключение. Список использованной литературы
Введение Производство товаров зависит от издержек, которые в свою очередь определяются ценами на факторы производства. Эти факторы имеют свой рынок, на котором они продаются и покупаются, а цена на них устанавливается в соответствии с законами спроса и предложения. Определение цен на факторы производства, а именно ренты на землю и другие ресурсы, заработной платы, нормы процента на капитальные активы и прибыли, связано с решением проблемы “для кого должны производиться товары” . Поэтому ее детальный анализ относится к теории распределения. В то же время механизм образования цен на факторы производства дает нам возможность ответить, каким путем должно быть организовано производство, чтобы оно было эффективным. Отсюда становится ясным, что ключ для понимания механизмов установления цен на факторы производства дает экономическая теория производства. Изучая данную проблему я ставила перед собой следующие задачи: усвоить, что представляют собой рынки факторов производства; разобраться в особенностях предложения и спроса на факторы производства, в специфике рынков земли, труда и капитала; выяснить содержание производственной функции; закона взаимозамещения ресурсов; определить как связаны минимизация издержек и максимизация прибыли фирм с ценообразованием на рынках факторов производства. В литературе вопрос раскрыт достаточно полно. В учебнике Видяпина В. И., Журавлевой Г. П. выделяются элементы рыночного механизма: спрос, предложение, цена; отмечается, что каждый элемент рыночного механизма связан ценой, которая служит основным инструментом, воздействующим на спрос и предложение; раскрывается теория цены товара; анализируются равновесные цены. Камаев В. Д. сосредоточивает свое внимание на особенностях рыночного товарооборота факторов производства; отмечает, что здесь действуют законы спроса и предложения и механизм конкурентного равновесия цен; дает понятия ссудному проценты, ренты, прибыли; раскрывает специфику рынков земли, труда, капитала, содержание производственной функции, закона взаимозамещения ресурсов.
Рынки факторов производства – это сферы товарного оборота важнейших групп ресурсов хозяйственной деятельности – земля, природные ископаемые, искусственные сырьевые ресурсы, ресурсы труда разнообразных специальностей и квалификации, капитально – технические ресурсы. Перечисленными группами рынки факторов производства не исчерпываются. В развитой рыночной экономике они насчитывают миллионы наименований, включая информацию, интеллект и способы их передачи. Движение факторов производства опосредуется рынками денег и ценных бумаг, регулируется соответствующей экономической политикой государства. Рыночный оборот факторов производства, в особенности первичных ресурсов, таких как земля, труд, нуждается в законодательном регулировании. В любой экономике оно осуществляется с помощью принципов и целей совершенствования рыночной среды, смягчая нежелательные тенденции и стимулируя рост производства. Формирование рыночных инфраструктур в российской экономике. С середины 80-х годов - начала 90-х годов для преобладающей части российской экономики положение в области формирования рыночных инфраструктур изменилось незначительно. Неполно трансформировались отношения собственности на землю как первичный ресурс производства в хозяйственной деятельности, не претерпели существенных изменений процессы перераспределения трудовых ресурсов: гарантии занятости в государственном секторе снизились, а перспективы вовлечения высвобождающейся рабочей силы в негосударственный сектор пока не ясны и маловпечатляющи. Пройден лишь начальный этап формирования негосударственного сектора экономики. Он представлен акционерными предприятиями и фирмами в промышленности, строительстве, торговле, на транспорте, в сфере услуг, фермерскими хозяйствами в аграрном секторе. Возникают такие рыночные инфраструктуры как коммерческие банки, фондовые биржи, биржи недвижимости, инвестиционные фонды, товарно-сырьевые и товарные биржи, биржи труда и занятости высвобождающейся рабочей силы. Однако факт создания и формирования подобных структур еще не разрушает монопольное ресурсопользование, не создает конкретную среду в области ценообразования на важнейшие факторы производства. С новыми рыночными инфраструктурами предстоит иметь дело предприятиям и фирмам, которые еще тесно связаны с госсектором российской экономики. Собственно выход из госсектора означает лишь номинальную самостоятельность, в особенности в вопросах ресурсообеспечения. Степень “выживаемости” новых рыночных структур зависит от того, сумеют ли они адаптироваться к сохраняющемуся монополизму в распределении ресурсов. Государственный монополизм в России выступает в следующих формах:
Классические принципы ресурсопользования. Земля, природные ископаемые и производные от них капитально-технические факторы производства, труд во всем его многообразии, интеллект, предприимчивости и организаторские способности являются ограниченным, уникальным благом для осуществления экономической, хозяйственной деятельности. Закон редкости, ограниченности ресурсов – один из основополагающих законов рыночной экономики. Его действием порождается ряд тенденций, вызывающих необходимость рыночной оценки любого ресурса как фактора производства. Рыночная оценка оказалась единственно возможным способом выражения ценности благ подобного рода. В этом направлении предстоит возрождать классический подход к ресурсопользованию в российской экономике. Необходимость рыночной оценки ресурсов и факторов производства диктуется тенденциями, присущими хозяйственной деятельности вообще. Важнейшими их них являются рост ресурсных затрат и снижение доходности. Механизмы рынков позволяют противодействовать этим тенденциям, используя следующие способы:
Именно эти принципы приводят в движение механизмы ценообразования на факторы производства. Собственность и распределение доходов в обществе. Включение в рыночный оборот первичных ресурсов, а также производных от них факторов производства возможно лишь при четком законодательном определении прав собственности. Это означает наличие собственников, а значит, и получателей соответствующих доходов. Так, собственность на землю как ресурс хозяйственной деятельности и фактор производства позволит разрешить и вопросы распоряжения ископаемыми ресурсами, недвижимостью и т.п. фондами производственного и непроизводственного назначения. Собственность на землю, ресурсы сырья и недвижимость дает правовое обоснование для получения таких видов доходов, как рента и арендная плата. Законодательная определенность такой собственности, как труд работника, его рабочая сила, права на интеллектуальную собственность, знания, предпринимательские способности, другие виды трудовой деятельности, представляют свободу выбора для деятельности людей в различных сферах и отраслях экономики: либо в виде частной предпринимательской деятельности, либо в форме найма на работу в государственном или негосударственном секторе, либо свободную интеллектуальную деятельность в соответствии с индивидуальными способностями и талантами. Реализация права на этот вид собственности, предложение обществу своего труда в той или иной сфере формирует группы получателей разных доходов по труду, квалификации, талантам. Работа в форме найма в любом секторе экономики дает право на получение заработной платы. Предпринимательская деятельность приносит доход с получаемой прибыли. Люди с особыми талантами и особенностями получают особо высокие доходы, содержащие своеобразную рентную надбавку за исключительность результатов труда в искусстве, спорте и т.д. Собственность на любые капитально-технические ресурсы и факторы производства также позволяет получать своеобразный доход в виде прибыли или процента, если эти факторы производства используются в сфере предпринимательства. Использование права собственности на такие активы, как деньги и различные ценные бумаги, также способно приносить доходы. Так, деньги помимо своих основных функций способны выступать также в форме ссудного капитала, пользование которым приносит их владельцу доход в виде процента. Такие активы, как облигации, и другие ценные бумаги, замещающие движение денежного ссудного капитала, так же приносят их владельцам доход, называемым процентом. На фондовых рынках широкое хождение имеют и другие ценные бумаги, например, акции, выступающие для их собственника активом, т.е. формой богатства, способного приносить доход в виде дивидента. Особенности спроса и предложения основных факторов производства.
Спрос на факторы производства имеет свою специфику. Особенностью, специфической чертой спроса на любые факторы производства является то, что он имеет производный, вторичный характер по сравнению со спросом на конечные потребительские блага. Производный характер спроса на факторы производства объясняется тем, что потребность в них возникает лишь в том случае, если с их помощью могут быть произведены пользующиеся спросом конечные потребительские блага, т.е. товары или услуги обычно потребительского назначения. Спрос на любой фактор производства может возрастать или снижаться в зависимости от того, возрастает или снижается спрос на потребительские товары, изготовленные с помощью данного фактора производства. Спрос на факторы производства предъявляют лишь предприниматели, т.е. та часть общества, которая способна организовать и осуществить выпуск продуктов и услуг, необходимых для конечного потребления. Предприниматели стремятся обнаружить возможности получения дохода, не замеченные конкурентами. Рынки факторов производства сообщают предпринимателям информацию о ценах, технико-экономических характеристиках товаров, уровне издержек производства, объемах предложения и т.д. Для организации производственного процесса требуются многие факторы: труд, земля, техника, сырье, энергия. Все они в большей или меньшей степени могут быть взаимодополняемыми и взаимозаменяемыми: живот труд может быть частично заменен техникой, и, наоборот, природные сырьевые материалы могут быть заменены искусственными и т.д. Однако и труд, и техника, и сырье сопряжены, взаимодополняемы лишь в едином производственном процессе. По отдельности каждый из них бесполезен. Но при прочих равных условиях изменение цен на один из этих факторов вызывает изменение привлекаемого количества не только этого, но и сопряженных с ним факторов производства. Например, более высокая заработная плата и относительно низкие цены на технику способны вызвать снижение спроса на труд и повышение его на машины, заменяющие рабочую силу, и наоборот. [1]. Следовательно, спрос на факторы производства – это взаимозависимый процесс, где объем каждого привлекаемого в производство ресурса зависит от уровня цен не только на каждый из них, но и на все остальные сопряженные с ними ресурсы и факторы. Рынок дает информацию о движении цен на каждый из них. Цена – одно из важнейших условий изменения эластичности спроса по каждому фактору производства. Спрос более эластичен на те факторы, которые при прочих равных условиях имеют более низкую цену. Это позволяет осуществлять взаимозамещение, вытеснить дорогостоящие факторы производства, снижать издержки производства. Высокие рыночные цены вызывают снижение спроса и переключение его на альтернативные факторы производства, имеющие относительно низкие цены. [3]. Эластичность спроса по каждому конкретному фактору производства может изменяться в зависимости от:
Предложение факторов производства. На конкретных рынках цены факторов производства формируются под влиянием как спроса, так и предложения. Предложение факторов производства – это то, их количество, которое может быть предоставлено на рынке по существующим на данный момент ценам. На рынках факторов производства спрос порождает предложение так же, как и на рынках обычных потребительских благ. Однако рынки факторов производства имеют свои особенности. Здесь предложение во многом зависит от специфики каждого конкретного фактора производства как экономического блага для осуществления производственной деятельности с целью получения дохода. Особенности предложения обусловлены редкостью, ограниченностью экономических ресурсов, прежде всего таких, как труд, земля природные ископаемые ресурсы сырья и продукты их переработки. Ограниченность, редкость первичных экономических ресурсов и производных от них факторов производства относительна. Они редки и ограничены по сравнению с потребностью производства в них для выпуска необходимых в каждый данный момент конечных благ. Если бы ресурсы не были ограничены, они были бы бесплатными, “как воздух” , а разнообразные потребности людей были бы раз и навсегда полностью удовлетворены. “Отпала бы потребность в рынках каких-либо товаров, не нужна была бы экономика, и никто бы не задумывался о ее надобности” . [3]. Однако люди неустанно и заинтересованно отслеживают показатели количества пригодных к использованию земель и цены этого использования; количества трудовых ресурсов, уровня их занятости и оплаты труда; количество добываемого сырья и цен в этой области. На основании этих и сопряженных с ними показателей отслеживается динамика, составляются прогнозы, меняется структура производства, а иногда и экономики в целом. Это означает, что предложение факторов производства испытывает на себе действие закона редкости, ограниченности ресурсов. В этом заключается важнейшая особенность всех рынков, и в частности рынка предложения любого фактора производства. На рынках обнаруживается, что предложение конкретного фактора производства имеет различную эластичность. Первопричиной здесь выступает закон ограниченности, редкости ресурсов, хотя могут иметь место и воздействия других факторов. Например, предложение земли чаще всего неэластично, потому что в каждый данный момент ее размеры фиксированы, альтернативного, заменяющего землю ресурса не существует, она представляет собой уникальное, не воспроизводимое благо. Практически невозобновляемы во времени и ископаемые ресурсы сырья, но их предложение более эластично, если найдены альтернативные, взаимозаменяемые, в том числе искусственные виды сырья и материалов. Количество трудовых ресурсов также в каждый данный момент фиксировано и изменяется достаточно медленно. Но эластичность предложения труда рабочей силы может зависеть от конкретной экономической ситуации, реализации возможностей полной занятости при данных доходах и уровне заработной платы. Рынок и рентные отношения.
Отношения по поводу ценообразования и распределения доходов от использования земли, ее ископаемых ресурсов и недвижимости называются рентными. В узком смысле под экономической рентой подразумевается цена земли, уплачиваемая арендатором ее собственнику за возможность производительного использования и получения прибыли. Рента является частью этой прибыли и уплачивается путем ее распределения в пользу собственника земли. Собственность на землю с ее естественными ресурсами и недвижимостью в виде построенных сооружений дает основание для получения чистой, т.е. абсолютной ренты, а также доходов в виде арендной платы. Порою, рента включает в себя арендную плату, если земельный участок арендуется для хозяйственного использования с построенными на ней сооружениями. Арендная плата выступает самостоятельной формой платежа, при которой используется лишь недвижимость, т.е. сооружения, здания и т.п. На рынках факторов производства земля, ее ресурсы и недвижимость включены в товарный оборот как ресурсы, не имеющие альтернатив взаимозамещения во многих сферах хозяйствования. Экономическую ренту они приносят потому, что их предложение на рынках неэластично или недостаточно эластично. Если изобразить на графике кривую предложения земли, то она будет иметь вид абсолютно вертикальной Спрос и предложение земли: SS – неэластичное предложение земли; DD – потенциальный спрос на землю; D 1 D 1 - cпрос в условиях, когда земля не приносит ренты; E – равновесная цена земли, установившаяся на уровне P Е в соответствии со спросом и предложением. Можно повысить производительность земли, улучшить ее качество, можно повысить рыночный уровень ренты как платы за землю или снизить этот уровень до минимума, но количество совокупного предложения этого фактора производства в каждый фиксированный момент времени увеличить невозможно. Чистая экономическая рента определяется соотношением спроса и предложения земли на рынках. Относительно неэластичного предложения земли, ее ресурсов и недвижимости как факторов производства рыночный спрос выступает важнейшим условием ценообразования, включающим ренту и арендную плату в издержки производства. Для предпринимателей спрос на землю и связанные с ней факторы производства должен совпадать с размером получаемого предельного продукта в денежном выражении. Наклон кривой спроса означает постепенное убывание дохода, противодействовать чему можно улучшением методов землепользования, применением прогрессивных технологий и способов использования подобных факторов производства.
Дисконтирование улавливает дифференциальную ренту, т.е. ренту, полученную с более выгодных участков земли, и содержит некоторую положительную разность дохода, возникающего на более плодородных, более выгодно расположенных землях, при менее глубинном и более производительном содержании ископаемых ресурсов и т.д. На рис. 2,3,4 дифференциальная рента может быть показана с помощью кривых предельных издержек производства и средних совокупных издержек для трех нефтедобывающих компаний. Особенностью является то, что глубина залегания нефтяных пластов каждой компании различна: случай возникновения дифференциальной ренты показан на рис. 2. Здесь залегание нефтяных пластов неглубокое. При фиксированной рыночной цене за 1т добытой нефти предельные и средние совокупные издержки добычи будут самыми низкими. Следовательно, только в этом случае имеет место дифференциальная рента, возникающая как разность между рыночной ценой продукции и указанными издержками добычи нефти. Рынок труда. Заработная плата.
Рынок труда стремится к равновесию, при котором совокупный спрос на каждую категорию рабочей силы будет совпадать с существующим по ней предложением. Это равновесие зависит от состояния рынков других факторов: земли, сырья, техники, технологий потребительских товаров. Важным является наличие конкурентной среды на самом рынке труда, когда при установившемся равновесии спроса и предложения не возникает существенных тенденций к увеличению или уменьшению различий в оплате труда. Особенность рынка рабочей силы в том, что работник сам определяет, сколько времени он хотел бы работать, а сколько – отвести для альтернативного вида занятий и отдыха. Этим определяется продолжительность контрактов о найме, при условии, что уровень оплаты является удовлетворительным для работника. Дилемма “работа – досуг” применительно к рынку труда получила название “эффекта замещения и эффекта дохода” , ее можно продемонстрировать на графике со своеобразным наклоном полого поднимающейся кривой предложения труда (рис. 5) . Характерный наклон кривой предложения труда показывает, что повышающаяся P L Предложение труда по принципу замещения “эффекта дохода” и “эффекта досуга” . заработная плата стимулирует работника к труду лишь до определенного момента. В течение этого периода досуг и свободное время приносятся в жертву интересам высокого заработка. По достижении высокого материального положения работник приостановит дальнейшее предложение своего труда и откажется от дополнительной занятости даже при росте зарплаты. В этом случае “эффект дохода” замещается “эффектом досуга” [3]. Общий уровень производительности труда зависит от кооперации капитала, ресурсов, технологий, совершенных методов производства. От них зависит и общий уровень оплаты труда, однако он повышается и тогда, когда предложение труда ограничено по сравнению с другими факторами производства и фиксированным спросом на рабочую силу. Цена труда, или заработная плата. На рынках рабочей силы зарплата – цена труда – устанавливается как конкурентное равновесие спроса и предложения по различным категориям работников, по видам работ, по наличию и отсутствию профсоюзов, влияющих на спрос и предложение труда и добивающихся повышения его оплаты для занятой части работников. Заработная плата выступает одной из важнейших и наиболее массовой формой дохода в любой экономике. В системе рыночных цен заработная плата является особо важной категорией еще и потому, что достигает примерно ѕ национального дохода развитых стран. Регулирование многих процессов в экономике связано с движением зарплаты. Например, одним из показателей уровня инфляции выступает разрыв между номинальной и реальной заработной платой. Номинальная заработная плата – это сумма денежных выплат, а реальная – определяется уровнем цен на товары, покупаемые в каждый данный момент на денежную сумму заработной платы. Существующие различия в зарплате зависят от профессионализма работников и видов выполняемых работ. Отклонения от равновесия рынков труда и безработица. Если существует конкурентная среда на рынках труда, то уровень заработной платы для каждой профессиональной группы устанавливается под влиянием взаимно уравновешивающихся спроса и предложения на рабочую силу. Но реальная ситуация отличается от идеальных условий. Это происходит из-за политики работодателей в области найма работников и установление или заработной платы и монопольных тенденций в области предложения труда и его оплаты, порождаемых действиями, например профсоюзов. В результате рыночное равновесие может быть нарушено либо повышением заработной платы, увеличением безработицы, либо увеличением занятости и инфляцией номинально растущей и реально снижающейся заработной платы. Экономическими условиями обоснованного роста реальной заработной платы выступают высокий удельный вес природных ресурсов на единицу работающих, если эти ресурсы используются рационально и эффективно, и совершенствование методов производства за счет роста капитала и улучшения технологий, что способствует повышению эффективности труда и его результативности. В этих условиях на конкурентном рынке труда уровень зарплаты будет повышаться, смещая вверх точку равновесия спроса и предложения рабочей силы в целом. Нарушения равновесия спроса и предложения происходят чаще всего вследствие монопольного воздействия профсоюзов, требующих повысить зарплату, зачастую без учета экономических условий, ускорить замещение труда капиталом также без учета экономических условий и т.д. Нередко, защищая экономические права своих членов, профсоюзы нарушают права на труд той части рабочей силы, которая по тем или иным причинам ищет работу. На рис. 6 можно увидеть “результат” не только этих, но и любых других монопольных воздействий на рыночное равновесие спроса и предложения труда, в особенности если эти воздействия смещают кривую предложения труда (при фиксированном спросе) для установления точки равновесия на уровне более высокой заработной платы. Зарплата включается в издержки производства и вызывает повышение товарных цен на выпускаемую продукцию, следствием которого может оказаться снижение спроса потребителей. Повышение товарных цен может вызвать снижение сбережений и накоплений капитала. Наиболее существенным и нежелательным последствием может оказаться рост безработицы. Любое смещение кривой предложения труда влево при фиксированной кривой спроса на труд образует точку равновесия на более высоком уровне, означающем новый, более высокий уровень заработной платы (он обозначен стрелкой вдоль вертикальной оси графика) . Но одновременно снижается количество занятых работников, что показано на рис. 7 заштрихованным треугольником. Рост спроса на труд. Повышение спроса на труд со стороны предпринимателей может произойти тогда, когда вновь привлекаемый дополнительный труд будет долее производительным. Только рост производительности труда выступает реальной основой повышения заработной платы. Это один из важных моментов, когда требования профсоюзов оказывают влияние на кривую спроса труда, смещая ее вправо вверх (рис. 6) . При такой ситуации возрастает заработная плата и занятость высокопроизводительной рабочей силы. Требования профсоюзов о повышении заработной платы при возрастающем спросе на рабочую силу. Рост заработной платы PL P’L, а так же увеличение занятости QL Q’L показаны стрелками вдоль соответствующих осей графика. Проблема может состоять лишь в том, что за пределами занятости окажется та часть рабочей силы, которая по различным причинам не может соответствовать требованиям высокой производительности труда. Повышение уровня заработной платы по требованию профсоюзов, ограничивающее предложение труда и способствующее увеличению размеров безработицы. Заштрихованный треугольник в области точек прежнего и нового равновесия E E’ A соответствует количеству излишней рабочей силы. Рынок капитальных активов. Дисконтирование.
Рынок капитала и капитальных активов – это составная часть рынка факторов производства. К нему относятся: все разновидности зданий и сооружений, техники и машин производственного назначения, оборудования и инструментов; земля; сырье и материалы; энергия и идеи; программное обеспечение для ЭВМ и разнообразная информация экономического содержания. В современной экономике границы понятия капитала распространяются на физически осязаемые и неосязаемые объекты. Рынок факторов производства, специфика действующих здесь законов спроса и предложения устанавливают цену любой разновидности капитальных активов. Их ценой выступает тот доход, который они способны принести в результате использования, производственного применения. Обобщающим выражением дохода на капитал, капитальные активы выступает годовая процентная ставка, т.е. такая величина дохода, которая исчисляется за определенный период времени, чаще всего за год, в процентном отношении к величине применяемого капитала. Размер получаемого дохода выступает ценой капитала и капитальных активов, вплоть до таких форм, как наличные деньги, предоставляемые в ссуду, ценные бумаги и т.д. Формы капитала и капитальных активов разнообразны, однако рынок требует их единообразной оценки и соизмерения. Общим знаменателем, к которому сводят стоимость капитала в форме любого актива, выступает их денежная оценка. По существу, все экономические блага производственного назначения, будучи выраженными в денежной форме, приобретают вид капитального актива, обращающегося на рынке. Процент. Процент как доход на капитальные активы будет тем выше, чем выше производительность реальных экономических благ, представленных капитальными активами как факторами производства. Для сложных производственных процессов в текущий момент или для осуществления их в будущем требуется накопление денежных средств, которые по мере превращения их в реальный капитал будут высокопроизводительными, а следовательно принесут более высокий доход в будущем. С этой целью осуществляется накопление капитала и его инвестирование. Оценка прибыльности осуществляется на основе чистой производительности капитала, исчисляемой, во-первых, после всех платежей от прибыли, и, во-вторых, в сопоставлении с осуществленными затратами. Эффективный инвестиционный проект – это проект, годовой доход от которого не ниже рыночной нормы процента по любому другому капитальному активу, включая банковскую процентную ставку. Дисконтирование. Дисконтирование – исчисление дохода, или определение расчетной величины чистой производительности капитала. Банковская процентная ставка играет в этих расчетах определяющую роль. На ее основе осуществляется расчет дохода в форме процентов, которые могут быть получены от будущих инвестиционных проектов.
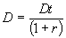
Дисконтирование осуществляется по формуле
Инвестиции имеют экономический смысл только в том случае, если годовой доход от них выше, чем процент по банковским вкладам, а тем более по всем другим активам, инвестирование которых связано с риском. Цены на оборудование, сырье, материалы и т.п. устанавливаются в зависимости от будущих доходов от их производительного использования, вычисляемых с помощью дисконтирования. Инвестиционные решения обосновываются исходя из таких параметров текущего момента, как цена приобретаемых на рынке инвестиционных товаров, норма процента, уровень годового дохода от применения этих товаров, цены их возможной реализации по остаточной стоимости в конце срока службы. Производственная функция и спрос на ресурсы.
Деятельность фирм в условиях рыночного ценообразования строится на экономических расчетах предельной эффективности затрат и выпуска продукции. Критерием здесь выступает предельная доходность ресурсов, измеряемая показателями изменения доходов фирмы от продажи выпускаемой продукции, произведенной с помощью использования дополнительной единицы каждого ресурса. Рыночное ценообразование, особенности его предложения и спроса формируют условия, укладывающиеся в классическую “модель” поведения фирм, получившую название закона “затрат – выпуска” . Она представляет собой систему инженерных расчетов производственной функции фирмы. Каждая фирма осуществляет экономические расчеты объема выпуска продукции и количества необходимых для этого ресурсных затрат. В наиболее общем виде это есть расчет фирмой собственной производственной функции. Производственную функцию можно представить в следующем виде: Q = (L, C) , где Q – объем выпуска продукции, L – количество используемого труд, C – объем капитала (технических средств) фирмы. В таблице 1 представлен гипотетический производственный процесс, технология которого предполагает сочетание капитала и труда. По вертикали указано количество единиц капитала, по горизонтали – численность работников. Размеры выпуска продукции показаны на пересечении каждой единицы капитала и труда. Данный пример показывает возможные сочетания количественно изменяющихся затрат факторов производства и максимально возможный результат такого сочетания – выпуск продукции. Современная экономика – это миллионы производственных функций. Для каждой фирмы вычисление своей производственной функции – это нахождение наиболее оптимального соотношения факторов производства для данного объема выпуска продукции. Для этого необходима информация о производительности привлекаемых в производство факторах, ценах и издержках на их приобретение, а также ценах и спросе на продукцию, выпускаемую с помощью этих факторов. Таблица 1 Числовой пример производственной функции фирмы.
Из таблицы 2 (колонки 1 и 2) видно, что изменение производственной функции отражает изменяющуюся техническую оснащенность труда, поскольку численность работников не изменилась. Вследствие этого возрастает объем выпуска (колонка 3) . При стабильности спроса и рыночной цены за единицу продукции (колонка 5) возрастает выручка от продаж продукции (колонка 6) . Можно заметить снижающуюся динамику показателей предельного продукта (колонка 4) и получаемого от его продажи предельного дохода (колонка 7) . Эти снижения не являются “казусом” условного числового примера, представленного в таблице 2. Подобная тенденция означает действие закона снижающейся доходности. Это обнаружится и тогда, если осуществлять дополнительные приращения труда, оставляя капитал неизменным. Относительное снижение выпуска, улавливаемое показателями предельного продукта происходит потому, что на каждую добавочную единицу приращиваемого фактора производства приходится все меньшее количество оставшихся неизменными других факторов. Снижение предельного продукта приостановится, если осуществлять дополнительные приращения не одного, а всех предусмотренных технологией. В результате возрастает абсолютный объем выпуска, его относительный прирост, т.е. предельный продукт. Единственным ограничителем здесь может быть рыночная цена на выпускаемую продукцию. Таблица 2 Производственная функция и динамика результатов экономической деятельности
Закон взаимозамещения и ценообразования на факторы производства.
Расчет производственной функции фирмы - это выбор среди многих вариантов, предусматривающих различные сочетания факторов производства, дающих один и тот же максимально возможный объем выпуска продукции. В условиях растущих цен и денежных затрат фирмы расчет производственной функции сосредоточен на поисках такого варианта, который обеспечил бы максимизацию прибыли при наименьших издержках. Условием равновесия фирмы выступает равенство предельных издержек и предельного дохода: MC = MR, где MC – предельные издержки, MR – предельный доход. Расчет производственной функции фирмы, стремящейся к достижению равновесия, будет сосредоточен на поиске такого варианта, который обеспечит необходимый выпуск продукции при минимальных издержках производства. Минимальные издержки определяются методом замещения, вытеснения дорогостоящих факторов производства альтернативными более дешевыми. Замещение осуществляется с помощью сравнительного экономического анализа взаимозаменяемых и взаимодополняемых факторов производства и их рыночных цен. Методика подобного поиска может основываться и на сопоставлении рыночных цен предельного продукта, получаемого от применения каждого данного фактора производства. Критерий эффективности достигается при равенстве цены каждого используемого ресурса (фактора производства) и цены предельного продукта, произведенного с его помощью. Минимизация издержек. Каждая фирма стремиться минимизировать свои издержки производства, действуя по правилу: на каждую единицу дополнительных денежных затрат, издержек на применяемые ресурсы – одинаковый предельный продукт.
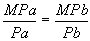
Издержки производства на выпуск данного объема продукции будут минимальными, если предельный продукт и издержки на его выпуск одинаковы. Правило наименьших издержек можно представить в следующем виде:
Если целесообразно осуществить перелив издержек, сокращая их на фактор A и соответственно увеличивая на фактор B, так как его предельный продукт намного выше. За счет такого “перелива” может быть достигнута минимизация издержек на данный объем выпуска товаров. Следствием этого на рынках факторов производства становится “перелив” спроса от дорогостоящих к более дешевым в цене факторам производства. Процессы замещения стабилизируют рынок каждого данного фактора. Замещение факторов и ресурсов в самом производстве вызывает изменение их рыночных цен. Вытесняемые из производства факторы снижаются в цене из-за сокращения спроса на них, а на замещающих их факторы спрос и цена могут вновь возрасти. Импульсом подобных колебаний служит политика фирм относительно объемов своего выпуска продукции, при минимальных издержках и максимальной прибыли. Максимизация прибыли. Главная цель фирмы – максимизация прибыли –достигается при равенстве предельных издержек и предельного дохода: MC=MR. Фирме потребуется такое количество и соотношение факторов производства при их данных рыночных ценах, которое необходимо для выпуска продукции в пределах равенства MC и MR. Деятельность любой фирмы - это перекресток двух рынков: потребительских товаров индивидуального спроса и факторов производства. На потребительских рынках фирма выступает как поставщик готовой продукции конечного потребительского назначения. На рынках факторов производства – покупателем ресурсов. Информация о рыночных ценах готовой продукции позволяет осуществлять расчет потенциального дохода и прибыли от ее продажи. Цены на рынках факторов производства позволяют вычислить издержки производства. Суммируя данную информацию фирма может обеспечить себе равновесие MC и MR, при котором достигается максимизация прибыли. Расчет необходимого оптимизма осуществляется по следующей схеме: MRPа = (MRq) * (Mpa) MRPb = (MRq) * (MPb) MRPc = (MRq) * (MPc) и т.д. Где MRPa, b, c и т.д. – доход от предельного продукта факторов a, b, c и т.д., MRq – предельный доход от единицы выпуска, Mpa, b, c и т.д. – физический объем выпуска предельного продукта, полученного от применения каждого указанного фактора производства. Количество предельных продуктов, умноженное на величину предельного дохода, называют доходом от предельного продукта – MRP. Стремясь к максимизации прибыли, фирма увеличивает спрос на факторы производства до тех пор, пока доход от их предельного продукта не уравновесится с ценой каждого их применяемых факторов. Максимальная прибыль фирмы может быть вычислена следующим образом: MRPa = Pa; MRP = Rb и т.д., где Pa, b, c и т.д. – рыночная цена факторов производства a, b, c и т.д. Ценообразование на рынках факторов производства изменяется в зависимости от реального спроса фирм, т.е. спроса определяющегося не потенциальными возможностями наращивания выпуска продукции, а возможностями максимилизации прибыли, достигаемой при равновесии предельных издержек и предельного дохода. Фирмы приостановят затраты и снизят спрос на факторы производства, рыночная цена которых выше предельного дохода от производимого им продукта. Спрос на фактор снизится и тогда, когда возрастет его рыночная цена. В обоих случаях идет замещение факторов производства более дешевыми. Рынки факторов производства – это сферы товарного оборота важнейших групп ресурсов. Движение факторов производства опосредуется рынками денег, ценных бумаг, регулируется соответствующей экономической политикой государства. Отмечается необходимость рыночной оценки ресурсов, как факторов производства. Эта необходимость диктуется ростом ресурсных затрат и снижением доходности. Существуют механизмы, противодействующие этому:
Данные принципы приводят в движение механизмы ценообразования на факторы производства. Заключение. Включение в рыночный оборот первичных ресурсов и производных от них факторов производства возможно при четком законодательном определении прав собственности. Спрос на факторы производства – взаимозависимый процесс, где объем каждого привлекаемого в производство ресурса зависит от уровня цен на каждый из них и сопряженные с ними ресурсы и факторы производства. Цена – одно из условий эластичности спроса по каждому фактору производства. Предложение факторов производства – это то их количество, которое может быть предоставлено на рынках по существующим на данный момент ценам. Рента – цена земли, уплачиваемая арендатором ее собственнику за возможность использования и получения прибыли. Ссудный процент – доход в виде процента ссудного капитала. На рынках рабочей силы цена труда устанавливается как конкурентное равновесие спроса и предложения по различным категориям работников, по видам работ, по наличию и отсутствию профсоюзов. Обобщающим выражением дохода на капитал выступает годовая процентная ставка, т.е. такая величина дохода, которая исчисляется за определенный период времени в процентном отношении к величине применяемого капитала. Определение расчетной величины чистой производительности капитала есть дисконтирование. Каждая фирма осуществляет экономические расчеты объема выпуска продукции и количество необходимых для этого ресурсных затрат. Список использованной литературы
Поделитесь этой записью или добавьте в закладки |
Полезные публикации | ||||||||||||||||||||||||||||||||||||||||||||||||||||||||||||||||||||||||||||||||||||||||||||||||||||||||||||||||||||||
Одним их условий изменений спроса на землю и сопряженные с ее использованием факторы производства является рыночная норма процента. Исчисление ренты в зависимости от нормы процента представляет собой разновидность дисконтирования такого капитального актива, как земля, ее ресурсы или расположенная на ней недвижимость. Дисконтированный размер ренты необходим при заключении договоров об использовании этих факторов производства на тот или иной период. Дисконтирование то есть исчисление будущего размера дохода в виде ренты, осуществляется следующим образом: Где DP – дисконтированный размер ренты, P – годовая рента, r – норма процента.
Где D – текущая дисконтированная стоимость актива, Dt – ежегодный будущий доход от актива, инвестированного на период, равный t лет, r – норма банковского процента.
Где MPa – предельный продукт ресурса A, MPb – предельный продукт ресурса
Главная